变形与应变
上一节
下一节
教学视频
本节主要内容
1. 变形与位移
变形:物体在外力作用下其形状或几何尺寸发生的变化
位移:物体受力后点的位置的改变
变形与位移的关系:变形可以用点的位移来描述。
为了研究构件的变形,可以假想把构件分割成无数微小的正六面体,当正六面体的各个边长为无限小时,称为单元体。
2. 应变

M点沿x,y方向的线应变(正应变)

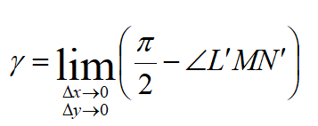
M点在xy面内的角应变(切应变)

线应变ε和切应变γ是度量一点处变形程度的两个基本量。

