卡式定理
上一节
下一节
教学视频
本节主要内容
10.5 卡氏定理
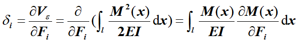
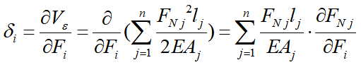
一、定理证明

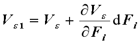
1. 先加F1、 F2、•••、 Fn
![]()
再给Fi 以增量 dFi ,则:

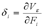
2.先加力 dFi ,则:

再加F1、 F2、•••、Fn,则:
![]()


第二卡氏定理:若将结构的应变能表示为载荷F1, F2,•••, Fn 的函数,则应变能对任一载荷 Fi的偏导数,等于Fi的作用点沿Fi 方向的位移 δ i 。
二、使用卡氏定理的注意事项:
①Vε——整体结构的应变能
② Fi 视为变量,支反力和应变能都表示为 Fi 的函数
③ δ i 为 F i 作用点的沿 F i 方向的位移。
④ 当无与 δ i 对应的 Fi 时,先加一沿 δ i方向的 F i ,求偏导后,再令其为零。
三、特殊结构(杆)的卡氏定理:
①横力弯曲

②桁架

③组合变形


