互等定理
上一节
下一节
教学视频
本节主要内容
10.4 互 等 定 理


![]()

![]()

![]()
![]()
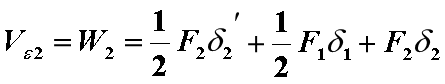
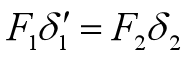
功的互等定理:F1在F2引起的位移上所做的功,等于F2在F1引起的位移上所作的功。
![]()
![]()
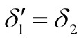
位移互等定理
F1作用点沿F1方向因F2作用而引起的位移,等于F2作用点沿F2方向因F1作用而引起的位移。
目录
10.4 互 等 定 理


![]()

![]()

![]()
![]()
功的互等定理:F1在F2引起的位移上所做的功,等于F2在F1引起的位移上所作的功。
![]()
![]()
位移互等定理
F1作用点沿F1方向因F2作用而引起的位移,等于F2作用点沿F2方向因F1作用而引起的位移。