应变能的普遍表达式
上一节
下一节
教学视频
本节主要内容
10.3 应变能的普遍表达式
一、克拉贝依隆原理


假设:
(1)变形很小
(2)材料是线弹性的,
(3)位移与外力之间满足线性关系

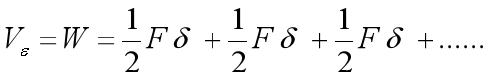
物体的应变能等于每一外力与其相应位移乘积的二分之一的总和。
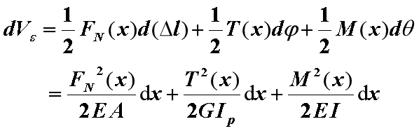
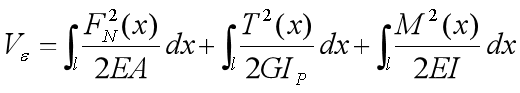
二、组合变形的应变能



目录
10.3 应变能的普遍表达式
一、克拉贝依隆原理


假设:
(1)变形很小
(2)材料是线弹性的,
(3)位移与外力之间满足线性关系

物体的应变能等于每一外力与其相应位移乘积的二分之一的总和。
二、组合变形的应变能


