轴向拉伸或压缩时的应变能
上一节
下一节
教学视频
教学内容
2.6 轴向拉伸或压缩时的应变能
一. 应变能
固体在外力作用下变形,在变形过程中,外力所作的功将转变为储存于固体内的能量。当外力逐渐减小时,变形逐渐恢复,固体又将释放出储存的能量而做功。体在外力作用下,因变形而储存的能量称为应变能。

二. 拉压杆应变能的计算
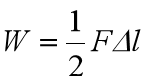
不计能量损耗时,外力功等于应变能。
全曲线范围内

比例极限范围内


三. 应变能密度:单位体积内的应变能




能量法:利用应变能的概念解决与结构物或构件的弹性变形有关的问题,这种方法称为能量法。

