轴向拉压的变形
上一节
下一节
教学视频
本节主要内容
2.3 轴向拉伸或压缩时的变形
一、轴向拉压杆件的变形和应变

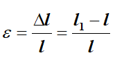
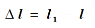
1.轴向变形:杆件的轴向尺寸变化
![]()
2.轴向应变:杆件轴向变形除以原长

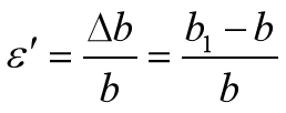
3.横向变形:杆件的横向尺寸变化
![]()
4.横向应变:横向变形除以原横向尺寸

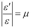
5. 泊松比(或横向变形系数)
实验结果表明,在材料的线弹性范围内,杆件的横向应变与轴向应变的比值为常数,该常数称为泊松比。

6. 弹性定律 —— 胡克定律
实验结果表明,在材料的线弹性范围内,杆件的轴向变形与轴向载荷成正比。

拓展阅读

图片来源网络,仅供教学使用。

