-
1 课程教案
-
2 讲课视频
-
3 讲课课件
-
4 小试牛刀
第三节 净度分析
任务分析
1. 知识目标
掌握种子净度分析的概念及其必要性。
2. 技能目标
掌握种子净度分析的程序。
课程学习:
一、种子净度分析的意义
1. 种子净度的概念
净度分析时将试验样品分为净种子、其他植物种子和杂质三种成分,并测定其百分率,同时测定其他植物种子的种类及含量。
种子净度——指试验样品中除去杂质和其他植物种子后,留下的本作物(种)净种子重量占分析样品重量的百分率。
即种子清洁干净的程度,
2.种子净度分析的必要性
泥沙等细小杂质影响种子堆的通风换气,
破损粒和秕粒种子及发过芽的种子会增加种子的呼吸强度,导致微生物滋生,从而降低种子的贮藏稳定性。
异作物和杂草种子混入会影响作物的生长发育、产量和质量,并影响机械收获作业;
许多有害或有毒杂草会造成人畜中毒。
种子内所含有的杂质多少和种类不仅影响种子的价值和利用率,而且还会影响种子的安全贮藏,影响作物的田间生长发育,甚至影响人畜健康。
二、几组术语
1. 净种子
送验者所叙述的种(包括该种子的全部植物学变种和栽培品种)符合附录A(补充件)要求的种子单位或构造。
2. 其他植物种子
除净种子以外的任何植物种子单位,包括杂草种子和异作物种子。
3. 杂质
杂净种子和其他植物种子外的种子单位和所有其他物质和构造。
三、测定程序
1. 重型混杂物的检查
在送验样品(或至少是净度分析试样重量的10倍)中,若有与供检种子在大小或重量上明显不同且严重影响结果的混杂物,如土块、小石块或小粒种子中混有大粒种子等,应先挑出这些重型混杂物并称重,再将重型混杂物分离为其他植物种子和杂质。
2. 试验样品的分取
(1)试样重量
净度分析的试验样品应按规定的方法从送验样品中分取,试验样品的重量应估计至少含有2500个种子单位的重量,或不少于《农作物种子批的最大重量和样品最小重量》的规定。
(2)试样分取
用分样器或分样板(四分法)从送验样品中分取规定重量的一份试样,或独立分取两份半试样。
(3)试样称重
当试样分至接近规定的最低重量时即可称重,以g表示。试样称重的精确度见下表。
3. 试样的分析
试样称重后,按GB/T3543.3的规定,将试样分离成净种子、其他植物种子和杂质三种成分。
分离工具——放大镜、筛子、吹风机等器具
分离依据——种子的明显特征,对样品中的各个种子单位进行仔细检查分析,并依据形态学特征、种子标本等加以鉴定。
分离后各成分分别称重,以g表示。称量的精确度与试样称重时相同。
4. 结果计算
(1)核查分析过程的重量增失
不管是全试样还是两份半试样,应将分析后的各成分重量之和与原试样重量比较,核对分析期间物质有无增失。若增失差距超过原试样重量的5%,则必须重做。
(2)计算各成分的重量百分率
各成分的百分率必须根据分析后各成分重量之和为基数计算,而不用原试样重量计算。
全试样分析时,所有成分的重量百分率应计算到一位小数;
(3)检查重复间的误差
若分析的是两个半试样,分析后任一成分的相差不得超过《同一实验室内同一送验样品净度分析的容许差距》。如实际差距超过容许差距,则按下列程序进行:
A. 再重新分析成对样品,直到有一对数值在容许差距范围内为止。
B.凡一对间的相差超过容许差距的两倍时,均略去不计。
C. 各种成分百分率的最后记录,应从全部保留的几对加权平均数计算。
(4)修约
各种成分的最后填报结果应保留一位小数。
各种成分之和应为100.0%,小于0.05%的微量成分在计算中应除外。如果其和不等于100.0%,则应从最大值增减0.1%。如果修约值大于0.1%,应检查计算有无差错。
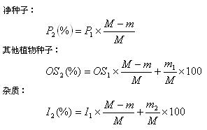
5. 有重型混杂物结果换算
净种子:

式中:M—送验样品的重量,g;
m—重型混杂物的重量,g;
m1—重型混杂物中的其他植物种子重量,g;
m2—重型混杂物中的杂质重量,g;
P1—除去重型混杂物后的净种子重量百分率,%;
I1—除去重型混杂物后的杂质重量百分率,%;
OS1—除去重型混杂物后的其他植物种子重量百分率,%。
最后应检查:(P2+I2+OS2)%=100.0%。
6. 结果报告
净度分析的结果应保留一位小数,各种成分的百分率总和必须为100%。成分小于0.05%的填报为“微量”,如果一种成分的结果为零,须填“—0.0—”。
当测定某一类杂质或某一种其他植物种子的重量百分率达到或超过1%时,该种类应在结果报告单上注明。
进行其他植物种子数目测定时,将测定种子的实际重量、学名和该重量中找到的各个种的种子数应填写在结果报告单上,并注明采用完全检验、有限检验或简化检验。
四、其它植物种子数目的测定
1. 测定对象
其他植物种子是指样品中除净种子以外的任何植物种类的种子单位,包括杂草种子和异作物种子两类。
2. 分析测定
分析时可借助放大镜和光照设备,根据送验人的要求对试样逐粒观察,取出所有其他植物的种子或某些指定种的种子,并数出每个种的种子数。
当发现有的种子不能准确确定所属种时,可鉴定到属。
如为有限检验,则只要找到与送验人要求相符合的一个或全部指定种子后,即可停止分析。
3. 结果计算
其他植物种子数目测定结果用实际测定试样重量中所发现的种子数表示。通常折算为样品单位重量(㎏)所含的种子数,以便比较。

课堂检测
请打开小试牛刀。
课后总结
总结种子净度分析测定过程中的注意事项。
课后实践
做玉米种子的净度分析,填写结果报告单。

