Introduction to Bayesian Belief Networks in Financial Scenario 贝叶斯信念网络分类器与金融应用——算法介绍
上一节
下一节
主要知识点:
概率图模型
是一种捕获随机变量之间概率关系的模型。贝叶斯信念网络就是概率图模型,其背后的基本概念用图表示,其中图的结点对应于随机变量,而结点之间的边缘表示概率关系。如图(a)所示,是一种使用有向边(带箭头)的概率图模型的例子,表示属性A,B,C之间的关系,这种有向图模型就是贝叶斯信念网络。图(b)表示的是一种使用无向边(无箭头)的概率图模型的例子,称为马尔科夫随机场。

什么是贝叶斯信念网络
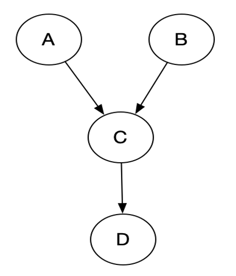
贝叶斯信念网络是一个有向无环图,即图中不包含任何有向循环使得结点循环到相同的结点。如下图所示,如果有一条从X到Z的有向路径,那么结点X是结点Z的祖先结点,结点Z是结点X的后代结点。

贝叶斯信念网络核心思想
即局部马尔科夫性质,在贝叶斯信念网络中,如果某结点的父结点已知,那么该结点对于其非子孙结点,是条件独立的,这个性质有助于将贝叶斯信念网络中的父子关系转化为条件概率的形式。如上图所示,在该图中,假设D结点的父结点C已知,那么D结点条件独立于其非子孙结点A和B。

