1.1.1 粒径
颗粒粒径、几何学粒径(当量径)的概念。
(1)几何学粒径
①不规则颗粒的外接长方体和三轴径(l、b、h)
三轴径:在一水平面上,将一颗粒以最大稳定度放置于每边与其相切的长方体中,用该长方体的长度l、宽度b、高度h定义的粒度平均值。
②以外接长方体三维尺寸表示的不规则颗粒的粒径
几何平均径
算术平均径
(2)投影径:颗粒以最大稳定性置于一平面上,由此按其投影的大小定义的粒径
① Feret径,沿一定方向测得的颗粒投像两平行线间距离的平均值,又叫定方向径
② Martin径,沿一定方向等分颗粒投影像面积的线段长度的平均值(又叫定向等分径)
③ 割线径
④ 投影面积相当径:与颗粒投影面积相当的圆的直径
⑤ 投影周长相当径
(3) 筛分径:当颗粒通过粗筛网并停留在细筛网上时,粗细筛孔的算术或几何平均值。
算术平均值:(a1+a2)/2
几何平均值:(a1a2)1/2
(4) 球当量径--能给出相同效果的球的直径
①等表面积当量径, DS:是指与颗粒等表面积的球的直径
②等体积当量径, DV:是指与颗粒等相同体积的球的直径
③等比表面积当量径, DSV:是指与颗粒等比表面积的球的直径
④Stokes径(沉降), Dstk:指与颗粒具有相同密度且在同样介质中具有相同自由沉降速度(层流区)的直径
⑤光散射当量径:指用能给出相同的光散射密度的标准颗粒球直径表示的颗粒粒径
1.1.2粉体的粒径分布
多颗粒体系存在粒径分布;粉体粒径分布的表示:频率分布和累积分布。
频率分布
,累计分布
1.1.2.2粒径分布函数
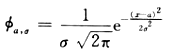
(1)正态分布(对称分布)
随机现象的概率模型-正态分布, 正态分布的概率密度函数(频率分布函数):
(2)对数正态分布(非对称)

1.1.3平均粒径
① 设粉末是由粒径为d1, d2, …,dn的颗粒组成的集合体,其物理特性可表示为f(d),可以由各个粒径函数的加成表示:

f(d)为定义函数,假设存在一个由直径为D的均一球形颗粒群,且该颗粒群具有与上述粒径不等的颗粒群相同的物理特性,即有f(D)=f(d)。则将D定义为平均粒径。
② 按照上述定义,可以以个数或质量为基准,针对某一物理特性推导出平均粒径。
如比表面积当量径
1.1.4颗粒的形状
1.1.4.1 颗粒形状的概念
① 颗粒形状是指颗粒的轮廓边界,是粒径之外颗粒的另一几何特征;
② 颗粒形状直接影响粉末体的性质,也直接与粉末在各种单元过程的行为相关;
③ 描述颗粒形状的方法:语言术语和数学术语。
1.1.4.2 形状指数和形状系数
1、形状指数:颗粒外形几何量的各种无因次组合。
(1)与外形尺寸相关的形状指数
均齐度:以长方体为颗粒的基准几何形状
长短度:长径/短径
扁平度:短径/高度
(2)与表面积或体积相关的形状指数
① 体积充满度fv:外接长方体体积/颗粒体积
② 面积充满度fb:颗粒投影面积/最小外接矩形面积(lb)
③ 球形度f0:颗粒接近球体的程度,与颗粒体积相等的球的表面积/颗粒的表面积。
实用球形度f0¢:与颗粒投影面积相等的圆的直径/颗粒投影的最小外接圆的直径。
(3)与颗粒投影周长相关的形状指数
① 圆形度fc:表示颗粒投影与圆的接近程度,相同投影面积圆的周长/颗粒投影周长。
② 表面粗糙度x:颗粒投影周长/相同面积椭圆的周长。
2、形状系数
研究物理现象和单元操作时要建立模型,模型建立基于规则颗粒,而实际颗粒不规则,应用模型时要引入修正系数
1.1.4.3颗粒形状的数学分析
(1)傅里叶级数展开的(R, q)法
(2)分数维法

