标准正态分布
上一节
下一节
第二节 标准正态分布
正态分布形状相似,但高矮胖瘦,各有不同
标准正态分布是一种特殊的正态分布

一、标准分
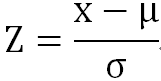
将正态分布公式中变量值X 进行标准化处理
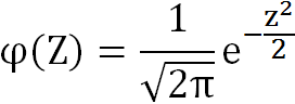
Z值称作X的标准分,根据Z值所得的分布成为标准正态分布,其概率密度为:
与正态分布公式比较,当取m=0,s=1时,两者实质是一样的
★★标准正态分布j(z)是一般正态分布的一个特例,即m=0,s=1的正态分布,记作N(0,1),对于一般正态分布记作N(m,
)
二、正态分布N(m,)和标准正态分布N(0,1)面积之间的对应关系
当x=m +s时,Z=1 当x=m -s时,Z=-1
当x=m +2s时,Z=2 当x=m -2s时,Z=-2
当x=m +3s时,Z=3 当x=m -3s时,Z=-3

P(-1≤Z≤1)=0.6827
P(-2≤Z≤2)=0.9545
P(-3≤Z≤3)=0.9973


