在线教学视频:
地图概括的五个步骤:
分类 ——对地理信息进行类别的简化。
选取 —— 空间数据的排序、分级或分群。
简化 —— 显示空间信息的重要特征,删除次要的细部。
夸张 —— 提高或强调符号的重要特征。
符号化 —— 将空间信息通过分类、简化、夸张等方法所获得的记号,根据其基本特征、相对重要性和相关位置制成各种图形。
一、地理信息的分类
地理信息只显示主要类型,排除次要的、非本质的类型。
1、地理信息按质量特征的分类
地理信息的质量特征分类,是将空间数据依属性合并,用简化的分类取代详细分类,或者取消低级别类型。

专题地图的分类是根据学科体系简化

2、地理信息按数量特征的分类
地理信息表示为数量特征的分类,常依比例尺可表达的程度进行。
大比例尺地形图以等高线表示地势,一般表示基本等高线和加粗等高线(计曲线),以表示缓坡上地形起伏,在必要的地段增加半距等高线(间曲线)和1/4距等高线(辅助等高线也称助曲线)。
当比例尺变更图形缩小后这项分类不复存在。

二、选 取
选取是制图综合的最重要和最基本的方法。它主要解决三个问题:
选取多少?——选取中的主要问题(地图的载负量)
选取那些?——是选取过程的具体化
怎样选取?——选取程序问题
1、资格法
按照空间数据的数量、质量等级高低排序作为选取资格;
一般为从主要到次要、从高级到低级、从大到小的原则。
a.按空间对象的数量选取
水系的选取:如果把≥1 cm的河流定为新编地图的最低标准,那么新编地图上凡是够1 cm长的河流一律选取,而小于1 cm的河流则全部删除。但须保持水系基本结构特征。
居民点的选取:人口≥500人的居民点为选取标准,达到此数量选取,不够的皆删除。
b.按空间对象的质量选取
居民点的质量指标有以下几种:行政等级、经济及历史文化地位、方位意义、区域的特点等。
其中行政等级是首要的选取指标,如规定社区(乡)、镇以上居民点选取,社区(乡)、镇以下居民点一律删除。
资格法选取地物,在编图实践中应视具体情况灵活运用:
连接湖泊的小河,作为湖泊唯一水源的小河,直接入海的小河以及江河上唯一的支流小河等均可破例选取。
为了正确反映水系的结构特征,如树枝状水系、格网状水系选取河流的数量要比平行状水系、放射状水系多。
如九寨沟、白沟等人口不多但较为重要的居民点。



2、定额法
按新编地图上单位面积选取对象的个数或密度的方法。

经过图解、计算分析及编图试验取得的选取指标,是定额选取的依据,并记录在编图大纲或规范中
优点:可以保证图面选取的内容既清晰易读,又能有足够的数量和适宜的密度。
注意:不仅照顾在图面上选取数量的密度和适宜性,同时还应该考虑选取对象的重要程度。
在编图实践中,定额法与资格法常结合使用。
3、区域指标法

指标图的作用是指导编图者正确地表现出区域的最显著特征和区间对比关系
选取指标通常应该确定一个取值范围,才能保持各分区之间取值的渐变。

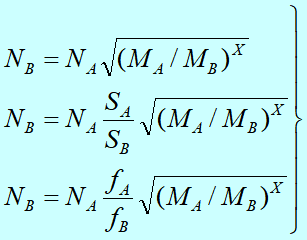
4、确定选取指标的几种数量分析方法
(1)图解计算法(苏霍夫)


(2)开方根规律法(特普费尔)

扩展公式的各种情况简化

X 为选取级,可设为 0, 1, 2, 3,对应为很重要,重要,一般,次要。
开方根规律法的特点:
(1)直观地显示了地图概括从重要到一般的选取标准,是一个有序的 选取等级系统。
(2)是线性方程,在地图比例尺固定条件下,地物选取比例一致。
(3)未考虑到地理差异,特别是制图对象分布的密度变化。
(4)选取级 X 的调整可适当弥补地理差异的影响。


三、简 化
简化就是显示空间数据的重要特征,删除不重要的细部。
简化处理,最终只显示其重要的本质特征,删除次要的非本质特征。
1.质量特征的简化
是将空间数据按其属性进行合并,用概括的分类取代详细的分类,或者取消低级分类。
举例: 居民点分类 地貌分类 土壤分类 植被分类


2.数量特征的简化
其目的是将空间数据按数量排序进行分级,可以等差分级、等比分级或任意分级。主要表现为减少数量分级,增大各级间的数值差距。

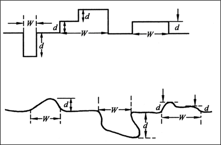
3.图形特征的简化
对线状地物、地物分界线、面状地物的复杂轮廓进行简化,通常采取删除、合并等处理手段。
图形形状简化的基本要求是:(1)保持轮廓图形和弯曲形状的基本特征;(2)保持弯曲转折点的相对精确度;(3)保持不同地段弯曲程度的对比。


图形简化的具体操作方法:
•按最小尺寸限定弯曲取舍

•按开方根规律简化形状

4.内部结构的简化
在简化过程中应保持一定的格局。例如在城市平面图形中,要考虑城市的功能分区、城市街区的方向、街道的密度对比、对外的交通联系等进行平面图形的概括。
图形碎部的删除

图形碎部的合并


图形内部的分割
主要是面状图形的拆分。
例如林间的防火道和鱼塘的堤埂,采取将面积图形适当示意性分割的方式有利于地物特征的表达。

四、夸张
没有夸张就不成为地图符号。夸张的方法包括:
1.不依比例尺放大
为保持地理要素基本特征,必须对一些弯曲进行局部夸大。
在符号化过程中往往要突破比例尺限制,采取不依比例尺的表示方式。 如河流、道路宽度的夸大,境界线的表示等。

2.移位
为保持地图上各要素相互关系的正确对比,当主要的要素占据了准确的位置以后,相邻位置的要素不得不局部位移。
有主次之分时,次要的应该让位主要;
无主次之分时,则应相互之间均作相应移位。

五、符号化
实质是空间数据的可视化,空间数据经过选取、简化、夸张等概括方法处理之后,通过制定图形记号,使其转化为视觉可视的形象-符号模型。


地图数据的符号化,是地图概括的最终结果体现。
六、几种要素的地图概括举例
1、水系
地形图上概括水系时,必须达到下列要求:
① 保持水系位置准确,而且形状与实地相似。
② 正确反映水系的类型及其形状特征。
③ 正确反映水系的分布特点与密度对比。
④ 正确反映水系要素间的内在联系和与其他要素的关系。


2、地貌
进行地貌等高线概括时的要求:
① 强调显示地貌形态基本特征
② 反映各种地貌的类型
③ 同一斜坡的等高线图形应协调一致
④ 等高线位置应随删去的碎部而改变

3、 居民地
居民地的地图概括必须做到下列要求:
① 正确反映主要街道和街区图形的特征(图)
② 正确反映居民地建筑面积与非建筑面积的对比
③ 正确反映居民地内部的通行情况
④ 正确反映居民地的外部轮廓情况

七、地图概括对地图精度的影响


