-
1 本节导读
-
2 视频及PPT
-
3 章节测试
第七章 气态污染物控制技术基础
第一节 吸收法净化气态污染物
教学目的:
理解并掌握吸收净化机理;
了解常用的吸收设备。
本节知识体系:
$ 吸收分为物理吸收和化学吸收两种类型


主要知识点:
1、吸收机理
(1)物理吸收机理
被吸收组分在吸收剂中物理溶解过程
※ 双膜理论模型的基本要点
(2)化学吸收机理
※ 被吸收组分与吸收剂或吸收剂中的活性组分发生化学反应
2、吸收平衡
(1)物理吸收平衡
亨利定律:气液相平衡(物理溶解平衡)
(2)化学吸收平衡
物理吸收平衡+化学反应平衡
3、吸收速率
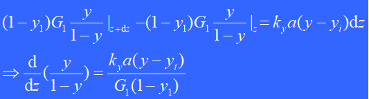
(1)物理吸收速率方程
一般表达式:传质速率=传质推动力×传质系数
或:传质速率=传质推动力/传质阻力
两者关系:传质系数=1/传质阻力


表 吸收过程的控制步骤
控制步骤 | 气膜控制 (易溶气体) | 液膜控制 (难溶气体) | 双膜控制 (中等溶解气体) |
吸收过程 | H2O吸收NH3 | H2O或弱碱吸收CO2 | H2O吸收SO2 |
H2O吸收HCl | H2O或弱碱吸收Cl2 | H2O吸收丙酮 | |
碱液或氨水吸收SO2 | H2O吸收O2 | 浓硫酸吸收NO2 | |
浓硫酸吸收SO2 | H2O吸收H2 | ||
弱碱吸收H2S |
(2)化学吸收速率方程
化学吸收传质速率=β×物理吸收传质速率
β—由于化学反应使吸收速率增强的系数,简称增强系数 ,
其单位无量纲;
4、吸收传质计算
(1)物理吸收传质计算
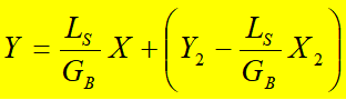
吸收操作线方程式:

吸收操作线斜率Ls/GB称为吸收操作的液气比;
物理含义:处理单位惰性气体所消耗的纯吸收剂的量。
(2)化学吸收传质计算
★ 该部分内容理解但不要求掌握!!
需满足:相平衡、化学反应平衡、物料平衡
以碱液吸收SO2为例

5、吸收设备
吸收设备应满足以下基本要求:
(1)气液之间应有较大的接触面积和一定的接触时间;
(2)气液之间扰动强烈,吸收阻力低,吸收效率高;
(3)气流通过时的压力损失小,操作稳定;
(4)结构简单,制作维修方便,造价低廉;
(5)应具有相应的抗腐蚀和防堵塞能力。
常用的吸收设备:喷淋塔、填料塔、板式塔、鼓泡塔、文丘里洗涤器等
辅助资料:
1、环境工程技术手册 《废气处理工程技术手册》(2013版)
见“资料”,与本节相关内容 P830-P875

