编码器
-
1 章节内容
-
2 PPT
-
3 视频
上一节
下一节
20.8 编码器
功能:将各种信号编制成对应的二进制代码。
一、二进制编码器
n位二进制代码有2n种组合,可以表示2n个信息。要表示N个信息所需的二进制代码应满足: 2n³ N
二进制编码器编码表如表所示:



二、二-十进制编码器
二-十进制编码器编码表如表所示:

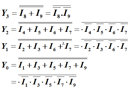
化成与非式:


功能:对十进制数0~9的十个信号进行编码,输出对应的BCD码。

