-
1 章节内容
-
2 PPT
-
3 视频
20.5 逻辑代数
逻辑代数(又称布尔代数),它是分析设计逻辑电路的数学工具。虽然它和普通代数一样也用字母表示变量,但变量的取值只有“0”,“1”两种,分别称为逻“0”和逻辑“1”。这里“0”和“1”并不表示数量的大小,而是表示两种相互对立的逻辑状态。
一、常用的逻辑代数
1、常量与变量的关系
逻辑与、逻辑或、逻辑非等
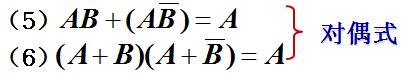
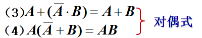
2、基本运算法则
![]()

![]()

![]()
![]()
二、逻辑函数的表示方法
逻辑函数四种表示方法:真值表、逻辑表达式、卡诺图和逻辑图。
1、真值表
将n各输入变量的个状态及其对应的输出变量值列成一个表格。例如:某输入变n=3的逻辑函数的真值表如表所示:

2、逻辑表达式
通常是用与或式表示输入变量与输出变量逻辑关系的表达式。其中,或项的个数等于真值表中输出变量为1的个数,每个与项是对应的所有输入变量的原码(或反码)相乘(即最小项相乘)。上表的逻辑表达式可写成:
![]()
3、卡诺图
用方格组成的阵列图表示输入变量与输出变量的逻辑关系,阵列图中方格的个数等于输入变量所有状态的个数(个),每个方格用输入变量的状态编号,方格中填写输入变量状态对应的输出变量的状态。上表中逻辑函数可用下图的卡诺图表示。

4、逻辑图
表示输入变量与输出变量逻辑关系的逻辑表达式,用相应的逻辑门电路符号连接起来的电路图。上述逻辑表达式的逻辑图如图所示:

三、逻辑函数的化简
1、化简要求
(1)化简为最简与或式(与项中的输入变量数最少,或项个数最少);
(2)化简为与非式。
2、化简方法
(1)公式化简:用逻辑代数运算法则进行化简;
(2)卡诺图化简:按照卡诺图中方格为1的相邻原则,面积从大到小画圈进行化简,适用于输入变量n≤4的情况。
化简得到最简与或式的情况下,用还原律
就可得到与非式。
具体的化简过程请参看PPT上的例题。

