直流稳压电源
-
1 章节内容
-
2 PPT
-
3 视频
上一节
下一节
18.3 直流稳压电源
稳压电路(稳压器)是为电路或负载提供稳定的输出电压的一种电子设备。稳压电路的输出电压大小基本上与电网电压、负载及环境温度的变化无关。理想的稳压器是输出阻抗为零的恒压源。实际上,它是内阻很小的电压源。其内阻越小,稳压性能越好。
稳压电路是整个电子系统的一个组成部分,也可以是一个独立的电子部件。
一、稳压管稳压电路
电路如图所示:

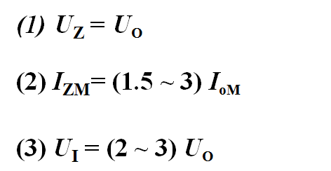
工作原理

参数的选择

适用于输出电压固定、输出电流不大、且负载变动不大的场合。
二、集成稳压电源
单片集成稳压电源,具有体积小,可靠性高,使用灵活,价格低廉等优点。最简单的集成稳压电源只有输入,输出和公共引出端,故称之为三端集成稳压器。


