运算放大器在信号运算方面的应用
-
1 章节内容
-
2 PPT
-
3 视频
上一节
下一节
16.2 集成运算放大器在引号运算方面的应用
集成运算放大器可以实现模拟信号的各种运算,其输出是输入信号的运算结果。电路中的运算放大器必须引入适当的负反馈,使之工作在线性区,输入与输出之间呈线性关系。基本运算包括比例、加、减、微分、积分以及它们的组合。根据负反馈集成运算放大电路的分析方法,计算输出和输入之间的运算关系。
一、比例运算
1、反相比例运算
反相比例运算电路如图所示:

输出电压为:
,当RF=R1时,uo=-ui,电路称为反相器。
2、同相比例运算
同相比例运算电路如图所示:

当RF=0或R1=∞时,uo=ui,电路称为同相器,又称跟随器,跟随器的电路如图所示:

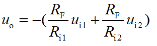
3、加法和减法运算
(1)加法运算
反相加法运算电路如图所示:


同相加法运算电路如图所示:


(2)减法运算
减法运算电路如图所示:



4、积分和微分运算电路
(1)积分运算
积分运算电路如图所示:

![]()
(2)微分运算
微分运算电路如图所示:



