三相异步电动机的调速
-
1 章节内容
-
2 PPT
上一节
下一节
主要内容:
三相异步电动机的调速方法。
重点难点:
三种调速方法。
内容精要:
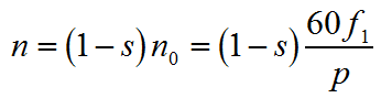
根据
可用三种调速方法。
1、变频调速:采用专用的变频调速装置。可实现无级平滑调速,且有硬机械特性。
2、变极调速:用于多速电机,改变绕组接法以改变磁极对数p,实现有级调速。
3、变S调速:用于绕线型电机,转子串电阻可实现无级调速,机械特性软,能耗大,设备简单,投资少,用于起重设备。

