三相异步电动机的转动原理
-
1 章节内容
-
2 PPT
-
3 视频
上一节
下一节
主要内容:
三相异步电动机的转动原理。
重点难点:
旋转磁场的转向、转速和磁极对数。
内容精要:



分析可知:三相电流产生的合成磁场是一旋转的磁场,即:一个电流周期,旋转磁场在空间转过360°。
2、旋转磁场的旋转方向
当任意改变相序的其中两相,则旋转磁场方向改变。

因此,旋转磁场的转动方向取决于三相交流电的相序。
转子的转动方向与磁场的旋转方向一致。




二、电动机的转动原理

定子三相对称绕组以星形或三角形接法通入三相对称电流,产生旋转磁场,磁力线穿过定子和转子铁心而闭合,且以转速n0旋转。转子绕组切割旋转磁场磁力线产生感应电动势,并在短路绕组内形成转子电流。转子电流又与旋转磁场相互作用产生电磁力,,形成转动力矩,使转子以转速n跟随旋转磁场转动,带动机械负载。
结论:
(1)转子的转动方向与磁场的旋转方向一致;
(2)转子的转速小于旋转磁场的转速。
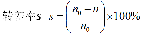
三、转差率
旋转磁场的同步转速和电动机转子转速之差与旋转磁场的同步转速之比称为转差率。



