负载三角形联结的三相电路
-
1 章节内容
-
2 PPT
-
3 视频
上一节
下一节
主要内容:
负载三角形联结中相线电流的计算;相线电流之间的关系。
重点难点:
对称负载相线电流之间的关系和计算。
内容精要:
1.电路形式
图1 所示电路为负载的三角形联结,因为每相负载接于两根相线之间,所
以不管负载对不对称,负载上的电压就等于电源的线电压。

图1 负载的三角形联结

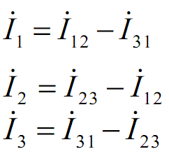
线电流不等于相电流
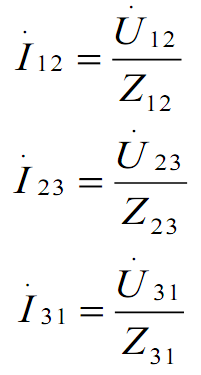
2、负载三角形联结电流的计算
(1)负载不对称时:
三相电路当成是三个单相电路分别计算,因此可以先求得相电流,即:

从图1电路中分析,可以通过相电流计算线电流,即:

(2)负载对称时:
因此三个相电流是对称的,只需要计算一相就可以了,其他两相按对称关
系直接书写,如:

则

当负载对称时,相电流和线电流之间的相量图如下图所示:

根据相量图可知:

3、负载联结方式的判断
当负载的额定电压等于电源的相电压时,应接成星形;
当负载的额定电压等于电源的线电压时,应接成三角形。

