阻抗的串联与并联
-
1 章节内容
-
2 PPT
-
3 视频
上一节
下一节
主要内容:
阻抗串联与并联的概念和电路的分析计算。
重点难点:
阻抗串联与并联电路中电压和电流的分析与计算。
内容精要:
1、阻抗的串联
两个串联阻抗可用一个等效阻抗 Z 来等效代替。

其中:![]()



相量图如图:

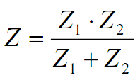
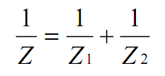
2、阻抗并联
两个并联阻抗可用一个等效阻抗 Z 来等效代替。

其中:
或




