电阻、电感与电容元件串联的交流电路
-
1 章节内容
-
2 PPT
-
3 视频
上一节
下一节
主要内容:
串联交流电路中阻抗的概念及表示方法;电压与电流之间的关系式;有功
功率、无功功率和视在功率的表示方法。
重点难点:
阻抗的概念及表示方法,电压与电流的相量关系式和相量图。
内容精要:
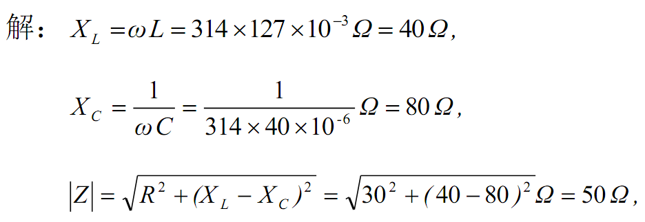
一、电压与电流的关系

1、瞬时关系:

2、相量关系
![]()
![]()

可见,Z的模表示u,i之间的大小关系,辐角为u,i之间的相位差。
注意:Z是一个复数,不是相量,不能在上面加点。

可见阻抗角j由电路参数决定。
电路参数与电路性质的关系:
当 XL>XC时,j>0 ,u超前 i ——电路呈电感性
当 XL<XC时,j<0 ,u 滞后i ——电路呈电容性
当 XL=XC时 ,j= 0 ,u、i同相——电路呈电阻性
二、相量图


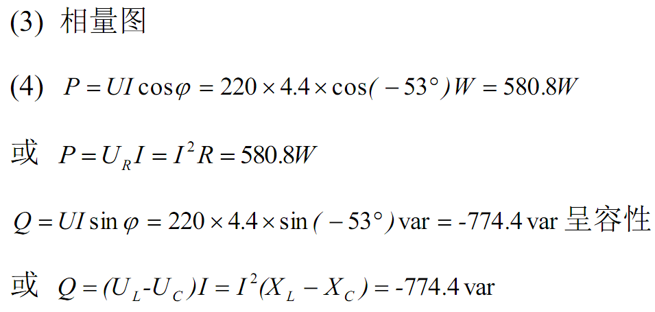
三、功率
1.瞬时功率

![]()
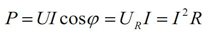
2、有功功率
![]()
3、无功功率
![]()
4、视在功率
![]()
或:![]()
P、Q、S 也组成一个直角三角形,称为功率三角形。






