微分电路与积分电路
-
1 章节内容
-
2 PPT
-
3 视频
上一节
下一节
主要内容:
微分电路和积分电路的组成、分析及应用
重点难点:
微分电路和积分电路的分析。
内容精要:
微分电路与积分电路是矩形脉冲激励下的RC电路。若选取不同的时间常
数,可构成输出电压波形与输入电压波形之间的特定(微分或积分)的关
系。
1、微分电路
电路组成:

条件:
![]()
(2) 输出电压从电阻R端取出

因此,输出电压近似与输入电压对时间的微分成正比。
波形:

应用:
用于波形变换, 作为触发信号。
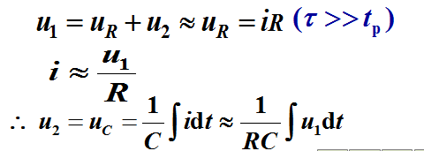
1、积分电路
电路组成:

条件:
![]()
(2) 输出电压从电容C端取出

因此,输出电压近似与输入电压成积分关系。
波形:

应用:
用作示波器的扫描锯齿波电压。

