一阶线性电路暂态分析的三要素法
-
1 章节内容
-
2 PPT
-
3 视频
上一节
下一节
主要内容:
一阶电路暂态分析中三要素的求解方法;利用三要素法的公式求暂态电路
中各电流电压的变化规律。
重点难点:
三要素的求解方法。
内容精要:
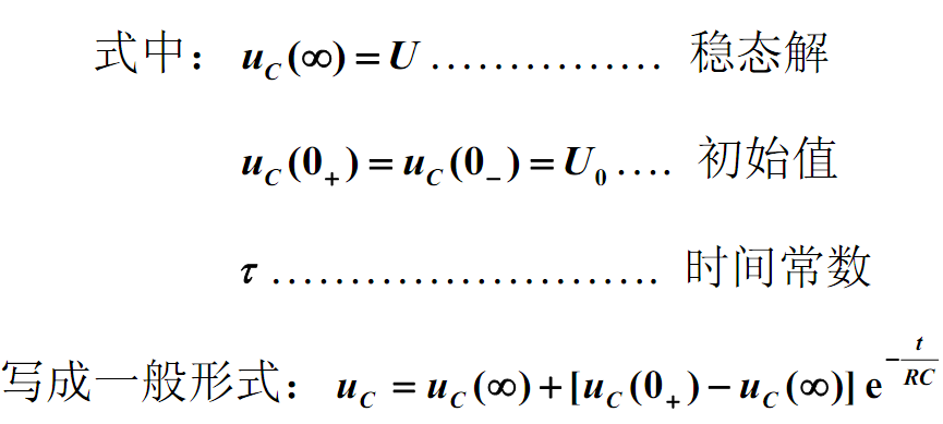
RC 电路是一阶线性电路,据经典法推导结果,全响应中uC的变化规律为:
![]()

因此,在直流电源激励的情况下,一阶线性电路微分方程解的通
用表达式为:

三要素法求解暂态过程的要点
(1) 求初始值、稳态值、时间常数;
(2) 将求得的三要素结果代入暂态过程通用表达式;
(3) 画出暂态电路电压、电流随时间变化的曲线:
响应中“三要素”的确定
1、稳态值f(∞)的计算:求换路后电路达到稳态时的电压和电流,其
C 视为开路, 电感 L 视为短路,即求解直流电阻性电路中的电压和电流。

(2) 初始值 f(0+)的计算
1、由 t=0- 电路求 uC(0-)、iC(0-)
2、根据换路定则求出uC(0+)=uC(0-)iL(0+)=iL(0-)
3、由 t=0+时的电路,求所需其它各量的 u (0+)或 i(0+)
在换路瞬间 t =(0+)的等效电路中,若 uC(0-)=U0≠0,电容元件用恒压
源代替,其值等于 U0;若 uC(0-)=0电容元件视为短路;若 iL(0-)=I0≠0,电
感元件用恒流源代替,其值等于 I0,若 iL(0-)=0,电感元件视为开路。

R0为换路后的电路除去电源和储能元件后,在储能元件两端所求得的无源二端网
络的等效电阻。

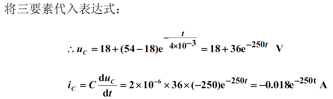
例:电路如图,S闭合前电路已处于稳态,t=0时合上开关S,试求电容电压uC和电流 i2、iC。





