-
1 章节内容
-
2 PPT
-
3 视频
主要内容:
RC电路零输入响应、零状态响应和全响应分析;时间常数的概念。
重点难点:
RC电路三种响应中电压,电流的变化规律;时间常数对暂态过程的影响。
内容精要:
一、一阶电路
所谓一阶电路,是指电路中只含有一个储能元件或者可以等效为一个储能元
件的电路。该电路的电压、电流关系可以用一阶微分方程表示。分析一阶电路
瞬态过程的方法有经典法和三要素法,今天来学习经典法。
经典法:根据激励(电源电压或电流),通过求解电路的微分方程得出电路
的响应(电压和电流),称为经典法。
二、RC电路的响应
1. RC电路的零输入响应
所谓零输入响应,是指无电源激励, 输入信号为零, 仅由储能元件的初
始储能所产生的电路的响应。在 RC 电路中,其实质是电容的放电过程。
如图所示电路:换路前电路已处于稳态,uC(0-)=U,t=0时开关 S→1, 电容 C
经电阻 R 放电。


再由初始值确定积分常数 A,根据换路定则:
![]()
电容电压 uC 的变化规律:

可见电容电压 uC 从初始值按指数规律衰减,衰减的快慢由RC 决定。
⑵电流及电阻电压的变化规律



理论上认为 t→∞、uC→0 电路达稳态,工程上认为 t=(3~5)t、uC→0
电容放电基本结束。
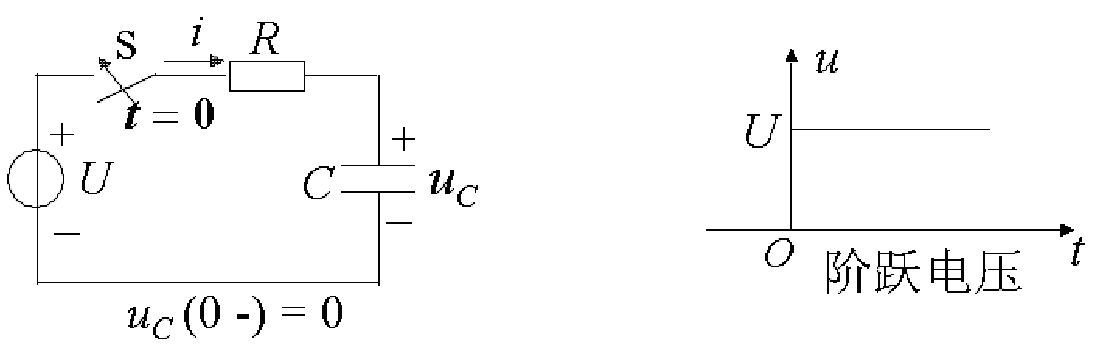
2.RC 电路的零状态响应
零状态响应,是指储能元件的初始能量为零,仅由电源激励所产生的电路的响
应。在 RC 电路中,其实质是电容的充电过程。
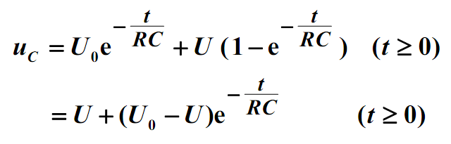
如图所示,开关 s 断开已久,电容没有储能,uC(0-)=0。在 t = 0 时,合上开关s,此时,电路实为输入一个阶跃电压 u。



求特解u'C
u'C(t)=uC(¥) = U



⑷时间常数t的物理意义
当 t=t时,uC(t)=U(1-e-1)=63.2%U,即时间常数t表示电容电压 uC从初始值上升
到稳态值的 63.2%时所需的时间。
3.RC 电路的全响应
所谓全响应,是指电源激励、储能元件的初始能量均不为零时电路中的响应。

对比全响应与零输入响应、零状态响应关系,可知:
全响应=零输入响应+零状态响应
全响应=稳态分量+暂态分量
因此,全响应uC的变化规律为:


