电阻元件、电感元件与电容元件
-
1 章节内容
-
2 PPT
-
3 视频
上一节
下一节
主要内容:
电阻元件、电感元件和电容元件中电压电流之间的基本关系及各元件的储
能。
重点难点:
各元件上电压与电流之间的基本关系。
内容精要:
1、电阻元件
具有消耗电能的性质。

根据欧姆定律: u=iR
即电阻元件上的电压与通过的电流成线性关系。

表明电能全部消耗在电阻上,转换为热能散发。
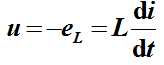
2. 电感元件
描述线圈通有电流时产生磁场、储存磁场能量的性质。

根据基尔霍夫定律可得:
将上式两边同乘上i,并积分,则得磁场能公式:

电感将电能转换为磁场能储存在线圈中。当电流增大时,磁场能增大,电感元件从电源取用电能;当电流减小时,磁场能减小,电感元件向电源放还能量。
3. 电容元件
描述电容两端加电源后,其两个极板上分别聚集起等量异号的电荷,在介质中建立起电场,并储存电场能量的性质。

当电压 u 变化时,在电路中产生电流:
将上式两边同乘上u,并积分,则得电场能公式:

电容将电能转换为电场能储存在电容中。
当电压增大时,电场能增大,电容元件从电源取用电能;当电压减小时,电场能减小,电容元件向电源放还能量。
本节所讲的均为线性元件,即R、L、C都是常数。

