-
1 章节内容
-
2 PPT
-
3 视频
主要内容:
戴维宁定理的定义、求解电路的解题方法和步骤
重点难点:
戴维宁定理求解有源二端网络的开路电压和等效电阻。
内容精要:
1、二端网络:
所谓二端网络就是具有两个引出端纽的部分电路。如果二端网络中没有电源,就称为无源二端网络;如果含有电源,就称为有源二端网络。

图1 二端网络
根据前面等效变换的方法,我们可以将无源二端网络等效为一个电阻。如图
2。

将有源二端网络有源二端网络等效为一个电压源或电流源。等效为电压源称为
戴维宁定理,等效为电流源称为诺顿定理。

我们来介绍这两个定理。
2、戴维宁定理
定义:任何一个有源二端线性网络都可以用一个电动势为 E 的理想电压源和内
阻R0串联的电源来等效代替。等效电源的电动势E 就是有源二端网络的开路电
压 U0,即将负载断开后a、b 两端之间的电压。等效电源的内阻R0等于有源二
端网络中所有电源均除去(理想电压源短路,理想电流源开路)后所得到的无
源二端网络a 、b 两端之间的等效电阻。

注意:“等效”是指两者对端口外电路的作用等效,即用等效电源替代原来
的有源二端网络后,外电路的电压、电流不变。
例1:电路如图,已知 E1=40V,E2=20V,R1=R2=4W,R3=13W,试用戴维宁定
理求电流 I3。


E 也可用结点电压法、叠加原理等其它方法求。
(2)求等效电源的内阻 R0
除去所有电源(理想电压源短路,理想电流源开路),从 a、b 两端看进去,
R1和R2并联,所以:

(3)画出等效电路求电流 I3

3、诺顿定理
任何一个有源二端线性网络都可以用一个电流为 IS 的理想电流源和
内阻 R0 并联的电源来等效代替。等效电源的电流IS 就是有源二端网络
的短路电流,即将 a 、b 两端短接后其中的电流。等效电源的内阻 R0等于
有源二端网络中所有电源均除去(理想电压源短路,理想电流源开路)后
所得到的无源二端网络 a 、b 两端之间的等效电阻。

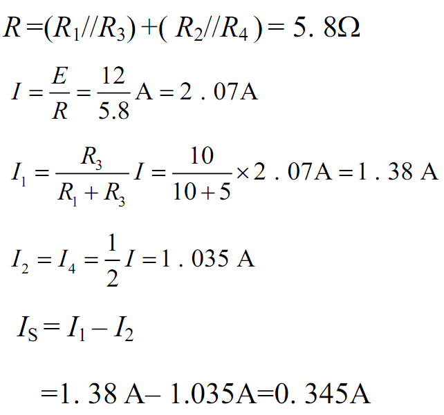
例 2:右图所示电路,
已知:R1=5W,R2=5W,R3=10W、R4=5W,E=12V,RG=10W,试用诺顿定理
求检流计中的电流 IG。

解:将图形变换如下,并将电流计短路。
(1)求短路电流 IS :因a、b两点短接,所以对电源 E 而言,R1和R3并
联,R2和R4并联,然后再串联。


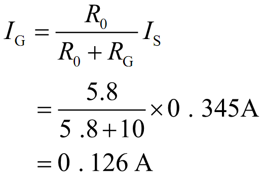
(2)求等效电源的内阻 R0
如图:


(3)画出等效电路求检流计中的电流 IG



