叠加定理
-
1 章节内容
-
2 PPT
-
3 视频
上一节
下一节
主要内容:
叠加定理的定义、解题方法和应用
重点难点:
叠加定理解题原则和应用。
内容精要:
1、定义:
对于线性电路,任何一条支路的电流,都可以看成是由电路中各个电
源(电压源或电流源)分别作用时,在此支路中所产生的电流的代数和。
如图1所示,图 a 可由图 b 及图 c 的叠加而得到。

图1 电路图

2、注意事项:
① 叠加原理只适用于线性电路。
②线性电路的电流或电压均可用叠加原理计算,但功率P 不能用叠加原理计
算。
![]()
③不作用电源的处理:电压源不作用,E= 0,即将 E 视为短路;电流源不作
用,Is=0,即将Is 视为开路。
④ 解题时要标明各支路电流、电压的参考方向。若分电流、分电压与原电路中电
流、电压的参考方向相反时,叠加时相应项前要带负号。
⑤ 应用叠加原理时可把电源分组求解,即每个分电路中的电源个数可以多于一
个。
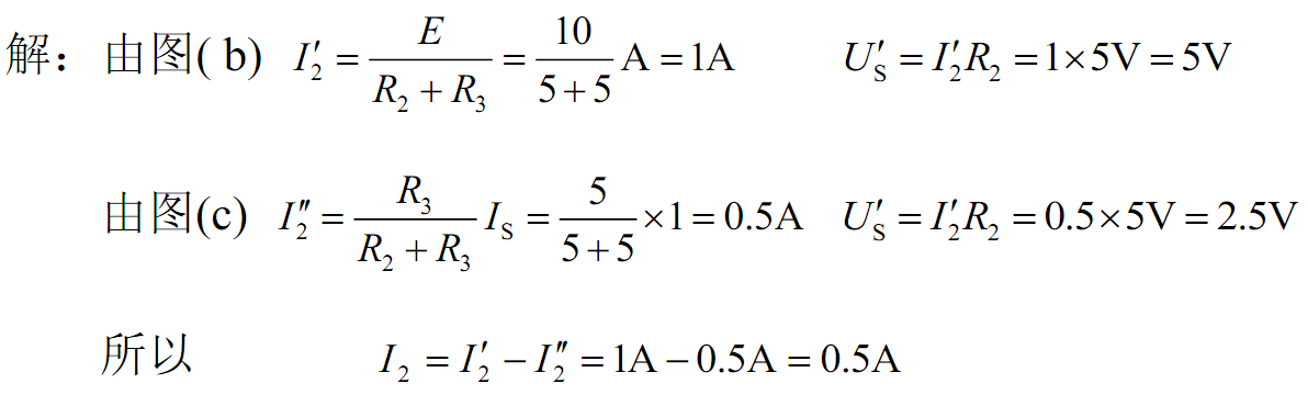
例:电路如图(a),已知 E =10V、IS=1A,R1=10W,R2=R3= 5W,试用叠加原理求流过R2的电流 I2和理想电流源IS两端的电压 US。


![]()

