支路电流法
-
1 章节内容
-
2 PPT
-
3 视频
上一节
下一节
主要内容:
支路电流法的定义、解题步骤和应用
重点难点:
包含有恒流源支路的支路电流法的使用
内容精要:
支路电流法是基于基尔霍夫定律应用的电路分析最基本的方法,适用于任何电路。
1.定义:
以支路电流为未知量,应用基尔霍夫定律(KVL、KCL)列方程组求解的方法。
2.解题步骤:
(1)首先在电路上标明各支路电流名称及其参考方向。b条支路有b个未知量。
(2)用KCL对n个结点中的(n-1)独立结点个列写电流方程。
(3)用KVL对(b-n+1)个独立回路列写电压方程(也可以对所有的网孔列写电压方程)。
(4)联立求解。
例1 :试求检流计中的电流 IG。


(2)应用KVL 选网孔列回路电压方程

(3) 联立解出 IG
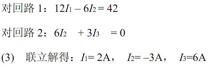
例2:试求各支路电流。

解:本电路含有一个恒流源。恒流源的电流已知,但恒流源两端的电压未知。应用支路电流法分析电路时,若遇到电路中含有恒流源的情况,可以在选取独立回路时,有意不包含恒流源支路,刚好就可以少列 KVL 方程,有几个未知的支路电流,就列几个电流和电压方程。
题目中支路数b=4,但恒流源支路的电流已知,则未知电流只有3个,只需要列
出 3 个方程。
![]()

支路电流法是电路分析中最基本的方法之一,但当支路数较多时,所需方程的
个数较多,求解不方便。如果支路数较多,而结点数目只有两个,可以考虑使
用下一节介绍的结点电压法,以减少联立方程的数目。

