电阻串并联连接的等效变换
-
1 章节内容
-
2 PPT
上一节
下一节
电阻串并联连接的等效变换
主要内容:
电阻的串联,并联连接方式及其主要公式。
重点难点:
分压公式和分流公式的使用。
内容精要:
电阻串并联的等效变换
1.电阻的串联
各电阻一个接一个地顺序相联,通过同一电流,称为电阻的串联。串联电阻的
等效电阻等于各电阻之和,串联电阻上电压的分配与电阻成正比。图1所示两
个电阻的等效电阻为:![]()

图1 电阻串联等效电路
两电阻串联时的分压公式:

其应用:降压、限流、调节电压等。
串联电路特点:所有元件中的电流相等;各元件上电压总小于总电压。
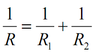
2.电阻的并联
联接在两个公共的结点之间的各电阻称为并联。其特点为各电阻两端的电压相
同;等效电阻的倒数等于各电阻倒数之和;图2所示两个电阻的等效电阻为:



图2 电阻并联等效电路
两电阻并联时的分流公式:

其应用:分流、调节电流等。
并联电路特点:所有元件两端的电压相等;各元件中的电流总小于总电流。

