
电源电动势
1.电源
电源就是把其他形式的能转化为电能的装置.
电源在电路中及时地把从电源负极经过导线流到电源正极的自由电子通过电源内部搬运回电源负极,使电源正、负极上的电荷保持一定,使导线两端的电压维持不变,从而使电路中有持续的、稳定不变的电流流过.
2.电动势
为了表示电源把其他形式的能转化为电能的本领大小,我们引入电动势的概念.电动势是电源本身的属性,取决于电池正、负极材料及电解液的化学性质,跟电源的体积、是否接入外电路亦无关.
不接用电器时,电源两极间电压就等于电源的电动势.电动势用符号E表示,它的国际制单位是伏,写作V.
电源内部是由导体组成的,也有电阻,叫做电源的内阻,用 r 表示,它是电源内部导体对电流的阻碍作用,与导体的体积和形状有关.
全电路欧姆定律
用导线把电源和电器连接起来,就组成了闭合电路,如图所示.虚线框以外的部分组成外电路;虚线框以内的部分是内电路.外电路的电阻叫做外电阻,用 R表示,内电路的电阻即内阻,用 r表示.

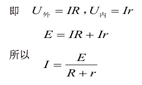
在电路中,电源的内阻分得的电压称为内电压,外电路分得的电压叫做外电压,通常称为端电压.而内电压与外电压之和就是电源的电动势,即

设闭合电路中的电流为 I,外电阻为R,内电阻为 r,根据部分电路欧姆定律,则

这就是全电路欧姆定律,即全电路中的电流跟电源的电动势成正比,跟电路的总电阻成反比.

实验表明,随着电阻 R 的增大,电流I 逐渐减小,端电压 U 逐渐增大.
当外电路断开时,这种情况叫做断路,如图 a所示.此时电路中电流 I 为零,因此内电阻分得电压也为零,端电压 U 就等于电动势 E.
当外电路如图 b所示时,这种情况叫做短路.此时,外电路的电阻等于0,端电压也就等于0,电路中的电流
.

例题


