
势能
初中我们已经学过,被举高的物体具有做功的本领,因此它具有能量。我们把地球表面附近的物体由于与地球之间存在一定的高度关系而具有的能量叫做重力势能。高处的物体究竟具有多少能量呢?
设一个质量为m的物体,从高度为 处,竖直向下落到地面,如右图所示。这个过程中重力做的功为W=mgh

因此可知,物体在高度处的重力势能:Ep= mgh。
重力势能是标量,它的SI单位跟动能一样也是J。
由重力势能公式可知,物体距地面越高,重力势能越大;反之,就越小。处于地平面以下的物体,公式中的 h 应为负值,其重力势能也为负值。在这里,负号只是表示它的重力势能比在地面处的重力势能小。
以上是把物体在地面处的重力势能当作零,当然也可选择另一水平面作为零势能面,这时上式中的 h 应是从该面算起的高度。在计算重力势能时,应同时说明零势能面的位置。一般情况下,常选地面为零势能面。
卷紧的发条、拉伸或压缩的弹簧、拉开的弓、正在击球的球拍、撑芉跳运动员手中弯曲的芉等,这些物体由于发生了弹性形变,而具有了做功的本领,我们把这种能量叫做弹性势能。
机械能守恒定律
我们在初中学过,重力势能和动能之间可以发生相互转化。
实验表明,小球在摆动的过程中,重力势能和动能发生了转化,而它们的总量保持不变。
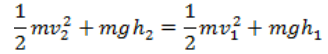
一个质量为m自由下落的物体,从高度为h1的A点下落到高度为h2的B点,速度从v1增加到v2,如右图所示。在此过程中,物体的重力势能减少了,而动能增加了。可以证明,物体的重力势能减少的量等于动能增加的量,动能与重力势能之和保持不变。

在自由落体运动中,只有重力做功,动能与重力势能可以互相转化,而总的机械能保持不变。在各种抛体运动中,如果忽略空气阻力,物体的总机械能也保持不变。
再如,物体在光滑斜面上运动,如右图所示,虽然物体受重力和支持力的作用,但支持力对物体不做功,只有重力做功。可以证明,在此过程中物体的机械能也保持不变。

在只有弹力做功的过程中,动能和弹性势能可以互相转化,总的机械能也保持不变。
在只有重力(或弹力)做功的情况下,物体的动能和重力势能发生相互转化,机械能的总量保持不变。这个结论叫机械能守恒定律,它是力学中的一条重要规律,也是能量守恒定律的一种形式。

[例题] 物体从l m高、2 m长的光滑斜面顶端,由静止开始无摩擦地滑下,到达斜面底端时的速度多大?(不计空气阻力)
分析 斜面是光滑的,没有摩擦,又不计空气阻力,斜面对物体的支持力与物体的运动方向垂直,对物体不做功,如右图所示。因此,物体在下滑过程中只有重力做功,机械能是守恒的。根据机械能守恒定律即可求得末速度。

解 设物体的质量为m,根据机械能守恒定律,并选取地面为零势能面,有




