
匀变速直线运动
我们日常观察到的运动,速度经常是不断变化的。例如,汽车开动时,速度越来越大;刹车时,速度越来越小。人们把速度不断变化的直线运动,叫做变速直线运动。
例如,一辆汽车沿一条直线从静止开始加速,如果1 s末的速度为2 m/s,2 s末的速度为4 m/s,3 s末的速度为6 m/s,4 s末的速度为8 m/s……那么,每经过1 s它的速度就增加2 m/s ……做变速直线运动的物体,如果在任意相等的时间内,速度的变化量都相等,这种运动叫做匀变速直线运动。
匀变速直线运动可分为匀加速直线运动和匀减速直线运动两种。
加速度
不同的匀变速直线运动,速度变化的快慢往往是不同的。世界级的短跑运动员可以在2 s内将自身的速度从0提高到10 m/s;迫击炮可以在0.005 s内将炮弹的速度从 0 提高到250 m/s。
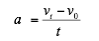
为了描述匀变速直线运动的速度变化的快慢程度,人们引入了加速度的概念。加速度等于速度的变化量跟发生这一变化所用时间的比值。如果用 a 表示加速度,用 vt 表示末速度,用 v0 表示初速度,用 t 表示速度变化所用的时间,则加速度的SI单位是米每二次方秒(m/s2),其数值的大小表示速度变化的快慢。

演示实验 用打点计时器测量加速度
将长木板的一端垫高,把打点计时器固定在长木板上较高的一端,连接好电路,把纸带穿过打点计时器连接到小车后部,如右图所示。启动电源,让小车滑下,打点计时器在纸带上打下一列点,如下图所示。断开电源。
小车从光滑斜面滑下的运动可视为匀加速直线运动。可选择相距0.1 s的两个点A、B,分别测量并计算出两点的瞬时速度vA、vB,再根据加速度的定义,计算出该过程的加速度。
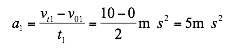
在前面的例子中,世界级的短跑运动员可以在2 s内将自身的速度从0提高到10 m/s,他的加速度大小为:

迫击炮可以在0.005 s内将炮弹的速度从 0 提高到250 m/s,炮弹的加速度大小为:

由计算结果可知,炮弹的加速度远远大于运动员的加速度。
加速度是矢量。在直线运动中,如果速度增加,则加速度是正值,表示其方向与运动方向相同;如果速度减少,则加速度是负值,表示其方向与运动方向相反。
[例题1] 汽车紧急刹车前的速度是10 m/s,刹车后经过2 s车停下来,求汽车的加速度。
分析 汽车从刹车到停止的过程可被看成是匀减速直线运动。题目中“停下来”的含义是末速度等于 0,因此,我们已经知道了初速度v0、速度变化所用的时间 t 和末速度vt,可直接用加速度公式来求解。
解 由加速度公式得

a为负值,表示加速度方向跟汽车初速度方向相反,汽车做匀减速直线运动。
速度公式
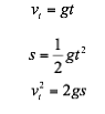
如果我们已知一个匀变速直线运动的初速度 v0、加速度 a 和时间 t,则可以用速度公式求解末速度 vt:
[例题2] 一辆汽车原来的速度是36 km/h,后来以0.25 m/s2的加速度匀加速行驶。求加速40 s时汽车速度的大小。
解 v0 =36 km/h =10 m/s,由速度公式得

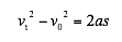
位移公式
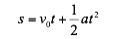
如果我们已知一个匀变速直线运动的初速度 v0、加速度 a 和时间 t,则可以用位移公式求解位移 s:
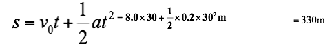
[例题3] 一列火车在斜坡上匀加速下行,在坡顶端的速度是 8 m/s,加速度是 0.2 m/s2,火车通过斜坡的时间是 30 s,求这段斜坡的长度。
解 由匀变速直线运动的位移公式,得

还有一个常用的位移公式:

自由落体运动
早在十七世纪意大利著名的物理学家伽利略就指出,我们平时之所以看到轻重不同的物体不能同时落地,是由于空气阻力的缘故。他的学生选择了形状相同的材料,不同的两个重球,重球的重力远大于空气阻力,让这两个球从比萨斜塔上同时落下,结果同时着地。
物体只在重力作用下从静止开始下落的运动,叫做自由落体运动。这种运动只有在没有空气的空间里才能发生。在有空气的空间里,如果空气阻力的作用比较小,可以忽略不计,物体的下落也可以看作是自由落体运动。
通过实验发现,自由落体运动是初速度为零的匀加速直线运动,而且在同一地点,一切物体自由下落的加速度都相同,这个加速度叫做重力加速度,通常用 g 来表示。
重力加速度的方向竖直向下,大小随地理位置的改变而略有不同。通常计算中,可以把 g 取作 9.8 m/s2;在粗略计算时,可把 g 取作 10 m/s2。
由于在自由落体运动中,初速度 v0 = 0,加速度 a = g,因此,自由落体运动的规律可表示为:


