
第11课时 选择育种的方法
一、家系选择(family selection)(掌握)
1.定义:
从混有不同类型的原始群里选出符合目标的优良个体留种,建立若干家系(1雌+1雄,同质选配)并繁殖后代,家系内逐代淘汰劣质个体,家系间逐步淘汰劣质家系,选留超越原始群体及对照品种、符合原定选择指标的优良家系,进而参加品系产量测定,这一过程称为家系选择。
2.实质:
家系选择实际上是对基因型的选择,通过累代近亲繁殖,可以使杂合的基因型得到不断的纯化,使纯合体百分率增加,一些隐性性状不带有不良的影响且符合人类经济要求,可被保留下来;大部分隐性基因有不良作用,如可导致生活力衰退、繁殖力降低、畸形等,这也是近交衰退的表现所在,在选择过程中被淘汰。

3.重要性:
①积累显性基因、减少隐性基因;
②分离若干性状有差别的家系或自交系,获得纯系或纯种;
③进行不同家系间的杂交形成杂种优势;
④加速选择进展,从一个混杂的群体或杂交体中如不通过近亲繁殖,单靠选择,能遗传的优良性状极不稳定,改进的效果也就极慢。因此,家系选择在选择育种中占有重要的地位。
4.家系繁育要求:
①各家系亲本同条件饲养同时人工授精;
②受精卵在相同孵化条件下孵化;
③各生长阶段保证有充足的饵料;
④各家系后代不许混杂;
⑤对子代质量鉴定要在母本遗传效应消失之后;
⑥对优良家系的评定和选择应在达到商品规格后进行;
⑦各家系进行同塘混养时,尽量做到放养数量相同、规格相同、做好标记、放养密度同生产实际、有几次重复;
⑧各家系单养时,要有足够数量的鱼池、网箱或分隔的小池,以保证每个家系有3-4次重复,因为池塘的变量一般都超过家系的变量。建立系谱档案,尤其育种簿,其中记明原始材料来源、原名、原来性状、开始年份、各代选择成绩。记载过程可按各自习惯对育种材料进行编码。
二、群体选择(individual selection)(掌握)
1.定义:
以个体为单位,以每一个体的表型值大小为准绳,从一个大的群体中选择性状优秀的个体,同质选配,将入选个体混养在一起,任其交配繁殖子一代,再从后代中选择表现型好的个体闭锁繁育子二代,如此反复进行,直至形成新品种。(又称为混合选择,集体选择或个体选择,mass selection)
2.效果:
Newkirk等(1983)报道,对二龄欧洲牡蛎(Ostrea edulis)体重进行个体选择,第一代体重平均比对照组高23%;刘志刚等(2007)对墨西哥湾扇贝进行群体选择,正向选择第一代壳高比亲代提高4.5%、体重提高8.9%,选择反应见下表及图。


3.提高个体选择效应的途径
①提高选择强度及选择变异大的群体:
个体选择的效应为:Rm=sh2=iδh2 ,可见,要达到高的选择效应,必须提高“i ”及“δ”。
②增加基因的加性遗传方差,提高h2:
一般,近亲繁殖降低遗传方差,非亲缘交配可增加基因的加性遗传方差。
③减少非遗传的变异性:
通过减少环境方差来提高遗传力。
④缩短世代间隔:
它意味着提高单位时间的选择效应,如通过升温加速鱼类性成熟以便提早进入繁殖等。
三、后裔测定(progeny testing ,又称亲本选择)(掌握)
定义:由于亲本群各个体受环境影响或来自不同养殖背景,仅从表型无法判断各个体优劣,此时可在相同养殖条件下,通过对各个体子代表型平均值的测定来判断优劣,并以此为依据选择亲本和亲本组合进行育种,这种方法称为后裔测定。它对质量和数量性状的选择较为有效,被广泛应用于动植物育种中。但此法仅适合寿命长的品种。
优点:
1.选择质量性状时,能够决定一个显性表型个体是纯合体还是杂合体;
2.选择数量性状时,用个体的育种值来评价较科学。同时,后裔选择的效果较为可靠。
缺点:
后裔测定的缺点是,所需的世代间隔太长,在后裔尚未达到度量之前,对亲本的选择是无效的,且有些水产动物是短命型的,如墨西哥湾扇贝,不适合采用此法。
什么叫育种值?
后裔测定法的依据是每一后代从每一个亲本得到遗传性的一半,后代平均基因型值决定于它们双亲的基因,后代基因型值直接反映亲本基因型值,这就是后裔测定法的原理。
育种值:对一个个体(如一头种公畜,配一群随机母畜,考察母畜性能)的遗传评价,必须从它的子代的平均数值加以判断,并把子代距母本群体平均数的平均离差的两倍值称为育种值。加倍的原因是它只供给子代基因的半数。
为了方便,采用相对育种值----子代距母本群体平均数的平均离差表示。谁大就选谁。
具体计算方法请参考:水产动物育种值估计方法及其应用的研究进展,海洋水产研究,2008,6;Vo29,No3
后裔鉴定在 鱼类育种中的几种方法:
(1)成对亲鱼后裔的比较鉴定:从每对亲鱼获得后代,对各家系后代作相互比较鉴定,选留后代优良的亲鱼。优点是进行了较好的配合力选择;缺点是不能对雌雄亲鱼单独作出评价。
(2)单一性别亲鱼的后裔鉴定:1雌配2-3雄或1雄配2-3雌,缺点是配雌雄鱼的数量较少。
(3)多系交配亲鱼后裔鉴定:能较好地选出两种性别的亲鱼。采用2×2(鲑鱼)、5×5(草鱼)交配方案。缺点是必须同时在相同环境中饲养许多后代,不易做到。
四、家系内选择(within family selection)(掌握)
定义:是从家系内选留表型值高的个体培育优良品种的方法。家系内选择的选择效应(
)为:

其中
为家系内受选择个体性状的表型值,
为家系内该性状的平均表型值,
为家系内选择的现实遗传力。
家系内选择的现实遗传力可以借助个体选择的现实遗传力
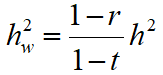
推估为(法尔康纳,1960):
其中,r 为家系内遗传相关,全同胞家系内r=0.5,半同胞r=0.25;t 为家系内表型组内相关系数,全同胞时
,半同胞
。
由于大部分数量性状所具有的全同胞表型相关系数t 在0.5以下(因为
,
),所以家系内选择的效果往往不及个体选择法(
)。
五、复合选择(combined selection)(掌握)
定义:将个体选择和家系选择结合起来所进行的选择育种方法称为复合选择、配合选择或综合选择。
方法:
第一步,进行非亲缘关系的1*1杂交,得到一定数量(5-6个)的家系;
第二步,按家系要求养成家系并鉴定它们的生产性能,选出好家系;
第三步,在较好的几个家系(2-3个)中进行个体选择和繁育;
第四步,测定上述各家系后代,根据后裔测定结果选出优良亲本家系,用于继代繁育培育新品种,并淘汰劣质家系。

优点:复合选择能在一个世代间连续进行家系和个体选择,有些性状甚至可以紧接着进行后裔测定,因而可以摆脱养殖上的技术困难,减少大量后代的比较工作,克服后裔测定中世代间隔长的缺点。
复习题:
一、问答题:
1.为什么说家系选择在选择育种中占有重要的地位?
2.水产动物家系繁育有什么具体要求?
3.请介绍后裔测定在鱼类育种中的几种方法及其优缺点。
4.请通过公式推断家系内选择的效果往往不及个体选择法。
二、简答题:
1.家系选择的实质是什么?
2.提高个体选择效应的途径有哪些?
3.后裔测定的优缺点是什么?
4.在选择育种方法中,复合选择有哪几个步骤?
5.在选择育种方法中,复合选择有什么优点?
三、名词解释:
1.家系选择
2.个体选择
3.后裔测定
4.育种值
5.相对育种值
6.家系内选择
7.复合选择

