
第10课时 选择育种的原则
一、选择适当的原始材料(掌握)
1.在优良品种中进行选择:
优良品种的底子好,基础好,具有各种优良的性状,从中再选拔出具有特色的个体,往往能得到比较好的效果。
例:德国镜鲤在欧洲是一个高度驯养、生长很快的品种,但对我国的肥水、粗饲料和高密度的养殖条件很不适应,抗病力很低,后经选育成为适应我国养殖条件的选育系。
2.在优良的混型品种中选择:
混型品种:品种选择时只注意某一性状的一致,对其它一些性状考虑较少,使选育出来的品种仍具有高度的多态性,存在继续选育的空间。
例:马氏珠母贝黑壳新品系选育,只注重壳色和生长速度,其它性状不予考虑,使珍珠层颜色存在丰富的多态性,可以对金黄色、银白色珍珠层加以选育,使培育出来的珍珠呈现这两种颜色,以满足市场需求。

3.从引入的良种经推广后的群体中选择:
良种引入后由于环境影响、天然杂交或变异而形成丰富的变异类型,是良好的选育原始群体。
例:虾夷扇贝为1996年审定通过的国外引进种,具有体型大的优点,并存在丰富的变异类型。2009年中国海洋大学等单位从中选育出肉柱为橘红色性状(闭壳肌可积累类胡萝卜素的突变体)的新品种-“海大金贝”;2015年獐子岛集团等单位从中选育出具有鲜艳的橘红色、生长速度快、存活率高、抗逆性强等特性的新品种-“獐子岛红”;2017年大连海洋大学从中选育出具有双壳纯白的鲜明外部特征和生长速度快的新品种-“明月贝”。

4.从多样性丰富的野生群体中选择:
在缺乏可供选择的优良的人工种质资源的情况下,可从多样性丰富的野生群体自然种质资源中根据人们的需要进行选择,如:体色、个体大小、形状等等。
二、在关键时期进行选择(掌握)
1.生长速度:要在过完生长盛期选择;
2.抗寒能力:应在自然条件下越冬,翌年春季解冻后,选择存活下来的个体繁育后代;
3.抗逆性:要在恶劣环境过后选择存活下来的个体繁育后代,选育个体要完成个体发育,达到性成熟年龄(抗高温选育如下图);
4.抗病性:要在病害严重发生的时期进行,选择存活下来的个体繁育后代,并观察不同发育时期对某疾病的抗性。

三、采用不同选择模式(掌握)
1.依次法(逐一选育法):
先选择1种性状→获得改进→第2种性状→获得改进→第3种、第4种…等,最终使所有的性状都得到提高。
例如:马氏珠母贝4种壳色及生长速度选育
第1年选壳色,第2年选壳高,第3年选壳宽,连续选育6代达到目的。(刘志刚等,马氏珠母贝4种壳色选育系F3的生长特性和遗传多样性比较,上海海洋大学学报,Vol.19,No.5;Sep.,2010.)
优点:对单项性状选择效果快;
缺点:各性状逐个达到要求费时长;或性状间存在负相关。
2.独立淘汰法(限值淘汰法):
将所要选择的各性状分别确定一个选择界限,凡是要留种的个体,必须同时超过各性状的选择标准。如果有一项低于选择界限,不管其他性状优劣程度如何,均予淘汰。
优点:选育效果快;可分别考虑同期或不同期几种性状;
缺点:淘汰后存留的个体数过少,不够留种,或留下的只是在几个性状方面都是平庸的个体。在贝类,由于个体数多,会好些。
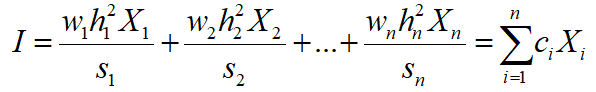
3.指数选择法:
根据各性状重要性的不同,加权后相加得出一个综合性的选择指数,把达到综合选择指数的个体留种。
如何制订“综合选择指数”计算公式?
例:家畜的综合选择指数计算公式制订

其中:I-某个个体综合选择指数;n-被选性状的序号;w-"权",代表各性状的相对重要性;h2-各性状的遗传力;X-各性状的表现型值;s-各性状标准差。

上式只要求出“C ”,综合选择指数公式就可以制订出来,就可以为每一个个体计算出“I”值,并对它们进行比较。但为了方便判断,求“C ”时,要先把基础群体的“I”设为100,那么,某个个体I≥100,则被选;I≤100,则被淘汰。
“C ”如何求解?
举例:选择种母猪的繁育性能
某地方品种猪与繁育性能有关的三个性状:产仔数X1;二月龄存活仔猪数X2;二月龄仔猪断奶窝重X3。



公式的应用:
1号母猪头胎产仔14头,60日龄断奶时存活10头,窝重96kg;2号母猪头胎产仔12头,60日龄断奶时全部存活,窝重128kg。哪头猪可以留种?
计算:I1=92,I2=104,I2可以留种。
优点:在遗传力和方差都相同假定下,比第一种方法的效率高
倍(N为性状项目数),又较第二种方法好些,可以把几种性状综合考虑,制定选择指数。
缺点:编拟选择指数繁杂,且一定要在全部性状发现之后才可着手。
复习题:
一、问答题:
1.在选择育种时如何选择适当的原始材料?请举例说明。
2.哪些育种性状的选择必须在关键时期进行?如何进行?
3.选择育种可采用哪些选择模式?比较各种模式的优缺点。
二、简答题:
1.请写出选择指数公式,并说明公式各部分的含义。
2.什么叫依次法(逐一选育法)?其优缺点是什么?
3.什么叫独立淘汰法(限值淘汰法)?其优缺点是什么?
4.什么叫指数选择法?其优缺点是什么?
三、名词解释:
1.逐一选育法
2.限值淘汰法
3.指数选择法
四、计算题:
1.举例说明如何制订家畜的选择指数计算公式。

