目录

  • 1 工程数学课程资料
    • 1.1 教学大纲
    • 1.2 教学进度表
    • 1.3 课程评价
  • 2 数学史
    • 2.1 数学危机
    • 2.2 2020年数学阿贝尔奖及历年菲尔兹奖
    • 2.3 数学家们
  • 3 第一章 函数与极限
    • 3.1 第一节 映射与函数
      • 3.1.1 映射
      • 3.1.2 函数
    • 3.2 第二节 数列的极限
      • 3.2.1 数列极限的定义
      • 3.2.2 收敛数列的性质
    • 3.3 第三节 函数的极限
      • 3.3.1 函数极限的定义
      • 3.3.2 函数极限的性质
    • 3.4 第四节 无穷小与无穷大
      • 3.4.1 无穷小
      • 3.4.2 无穷大
    • 3.5 第五节 极限运算法则
    • 3.6 第六节 极限存在准则 两个重要极限公式
    • 3.7 第七节 无穷小的比较
    • 3.8 第八节 函数的连续性与间断点
      • 3.8.1 函数的连续性
      • 3.8.2 函数的间断点
    • 3.9 第九节 连续函数的运算与初等函数的连续性
      • 3.9.1 初等函数的连续性
    • 3.10 闭区间上连续函数的性质
    • 3.11 函数极限计算方法总结
    • 3.12 函数极限概念总结
    • 3.13 数学家亚里士多德、高斯等
      • 3.13.1 亚里士多德
      • 3.13.2 高斯
  • 4 第二章 导数与微分
    • 4.1 第一节 导数概念
      • 4.1.1 引例
      • 4.1.2 导数的定义
      • 4.1.3 导数的几何意义
      • 4.1.4 函数可导性与连续性的关系
    • 4.2 第二节 函数的求导法则
      • 4.2.1 加法、乘法、除法求导法则
      • 4.2.2 复合函数求导法则
    • 4.3 第三节 高阶导数
    • 4.4 第四节 隐函数及由参数方程确定的函数的导数
    • 4.5 第五节 函数的微分
    • 4.6 数学家牛顿、莱布尼兹等
      • 4.6.1 牛顿
      • 4.6.2 莱布尼兹
  • 5 第三章 微分中值定理与导数的应用
    • 5.1 第一节 微分中值定理
      • 5.1.1 罗尔中值定理
      • 5.1.2 拉格朗日中值定理
      • 5.1.3 柯西中值定理
    • 5.2 第二节 罗比达法则
    • 5.3 第三节 泰勒公式
    • 5.4 第四节 函数的单调性与曲线的凹凸性
    • 5.5 第五节 函数的极值与最值
    • 5.6 第六节 函数图像的描绘
    • 5.7 第七节 曲率
    • 5.8 章节测试
    • 5.9 数学家拉格朗日、费马等
      • 5.9.1 拉格朗日
      • 5.9.2 费马定理
  • 6 第四章 不定积分
    • 6.1 第一节 不定积分的概念与性质
    • 6.2 第一节不定积分的性质与基本积分表
    • 6.3 第二节 第一类换元积分法
    • 6.4 第二节 第二类换元积分法
    • 6.5 第三节 分部积分法
    • 6.6 第四节 有理函数的不定积分
    • 6.7 第五节 三角函数的不定积分
  • 7 第五章
    • 7.1 第一节 定积分的概念
    • 7.2 第一节 定积分的性质
    • 7.3 第二节 积分上限函数及其导数
    • 7.4 第二节 微积分基本公式
    • 7.5 第三节 定积分换元法
    • 7.6 第三节 定积分分部积分法
    • 7.7 第四节 反常积分无穷区间上的反常积分
    • 7.8 第四节 反常积分无界函数的反常积分
    • 7.9 第五节 反常积分的审敛法
  • 8 第六章 定积分的应用
    • 8.1 第一节 定积分的元素法
    • 8.2 第二节 定积分的几何应用举例(1):平面图形的面积
    • 8.3 定积分的几何应用(2):体积和平面曲线的长度
    • 8.4 第三节 定积分在物理学上的应用
  • 9 第七章 微分方程
    • 9.1 第一节 微分方程的基本概念
    • 9.2 第二节 可分离变量的微分方程
    • 9.3 第三节 齐次方程
    • 9.4 第四节 一阶线性微分方程
    • 9.5 第五节 可降阶的高阶微分方程
    • 9.6 第六节 高阶线性微分方程
    • 9.7 第七节 常系数齐次线性微分方程1
    • 9.8 第七节 常系数齐次线性微分方程2
    • 9.9 第八节 常系数非齐次线性微分方程
    • 9.10 数学家伯努利家族
  • 10 第八章向量代数与空间解析几何
    • 10.1 第一节向量及其线性运算
    • 10.2 第二节 点的坐标与向量的坐标
    • 10.3 第二节数量积 向量积
    • 10.4 第三节平面及其方程
    • 10.5 第四节空间直线及其方程
    • 10.6 第五节曲面及其方程
    • 10.7 第六节空间曲线及其方程
  • 11 第九章多元函数的微分法及其应用
    • 11.1 第一节多元函数的基本概念
    • 11.2 第二节偏导数
    • 11.3 第三节全微分
    • 11.4 第四节多元复合函数的求导法则
    • 11.5 第五节隐函数的求导法则
    • 11.6 第六节多元函数微分学的几何应用
    • 11.7 第七节方向导数与梯度
    • 11.8 第八节 多元函数的极值及其求法
  • 12 第十章重积分
    • 12.1 第一节二重积分的概念与性质
    • 12.2 第二节二重积分在直角坐标系下的计算方法
    • 12.3 第二节二重积分在极坐标系下的计算方法
    • 12.4 第三节三重积分在直角坐标系下的计算
    • 12.5 第三节三重积分在柱面坐标及球坐标下的计算
    • 12.6 第四节重积分的应用(几何)
      • 12.6.1 立体的体积
      • 12.6.2 曲面的面积
      • 12.6.3 物体的质心
      • 12.6.4 转动惯量
      • 12.6.5 引力
    • 12.7 第四节重积分的应用(物理)
  • 13 第十一章曲线积分与曲面积分
    • 13.1 第一节对弧长的曲线积分
    • 13.2 第二节   对坐标的曲线积分
    • 13.3 第三节 格林公式及其应用
    • 13.4 第四节 对面积的曲面积分
    • 13.5 第五节对坐标的曲面积分
    • 13.6 第六节高斯公式
    • 13.7 第七节斯托克斯公式
  • 14 第十二章无穷级数
    • 14.1 第一节常数项级数的概念与性质
    • 14.2 第二节常数项级数的审敛法
    • 14.3 第三节幂级数
    • 14.4 第四节函数展开成幂级数
    • 14.5 第五节函数的幂级数展开式的应用
    • 14.6 第六节傅里叶级数
  • 15 线性代数部分
    • 15.1 数学史
      • 15.1.1 神圣的几何
      • 15.1.2 几何原本介绍
      • 15.1.3 非欧几何介绍
      • 15.1.4 线性代数序言
    • 15.2 线性代数发展史
  • 16 第一章矩阵与行列式
    • 16.1 矩阵介绍
    • 16.2 第一节 矩阵的概念
    • 16.3 第二节 矩阵的运算
    • 16.4 行列式介绍
    • 16.5 第三节 方阵的行列式
    • 16.6 第四节 逆矩阵及其运算
    • 16.7 第五节 矩阵的分块
    • 16.8 第六节 矩阵的初等变换
    • 16.9 第七节 矩阵的秩
    • 16.10 习题课
  • 17 第二章 向量组的线性表示与向量空间
    • 17.1 向量组的线性表示
    • 17.2 向量组的线性相关
    • 17.3 向量组的秩
    • 17.4 向量空间
    • 17.5 习题课
  • 18 第三章 线性方程组
    • 18.1 线性方程组简介
    • 18.2 克拉默法则
    • 18.3 齐次线性方程组解的结构与性质
    • 18.4 非齐次线性方程组解的结构与性质
    • 18.5 习题课
  • 19 相似矩阵与二次型
    • 19.1 欧式空间的基本概念
    • 19.2 方阵的特征值与特征向量
    • 19.3 相似矩阵
    • 19.4 实对称阵的对角化
    • 19.5 二次型
    • 19.6 总复习
  • 20 概率论与数理统计部分
    • 20.1 什么是概率?
    • 20.2 第一节   随机事件及其频率
    • 20.3 第二节  样本空间
    • 20.4 第三节  事件的关系与运算
    • 20.5 第四节  概率的古典定义
    • 20.6 第五节 概率加法定理
    • 20.7 第六节  条件概率  概率乘法定理
    • 20.8 第七节  全概率公式
    • 20.9 第八节   随机事件的独立性
    • 20.10 第九节  独立试验序列
    • 20.11 第十节  概率论的公理化体系
  • 21 第二章   随机变量及其分布
    • 21.1 第一节  随机变量的概念
    • 21.2 第二节  离散随机变量
    • 21.3 第三节  超几何分布  二项分布  泊松分布
    • 21.4 第四节  连续随机变量
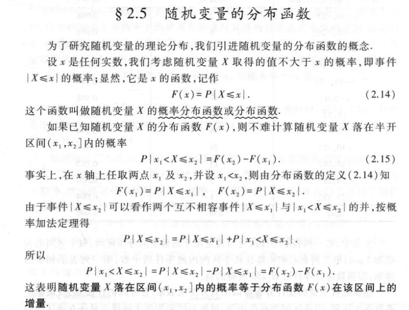
    • 21.5 第五节  随机变量的分布函数
    • 21.6 第六节   连续随机变量的概率密度
    • 21.7 第七节  均匀分布  指数分布
    • 21.8 第八节   随机变量函数的分布
    • 21.9 第九节  二维随机变量的联合分布
    • 21.10 第十节  二维随机变量的边缘分布
    • 21.11 第十一节  二维随机变量的条件分布
    • 21.12 第十二节   随机变量的独立性
    • 21.13 第十三节   二维随机变量函数的分布
  • 22 第三章   随机变量的数字特征
    • 22.1 第一节   数学期望
    • 22.2 第二节   随机变量函数的数学期望
    • 22.3 第三节  关于数学期望的定理
    • 22.4 第四节  方差与标准差
    • 22.5 第五节  某些常用分布的数学期望与方差
    • 22.6 第六节  原点矩与中心矩
    • 22.7 第七节  协方差与相关系数
    • 22.8 第八节  切比雪夫不等式与大数定律
  • 23 第四章  正态分布
    • 23.1 第一节  正态分布的概率密度与分布函数
    • 23.2 第二节 正态分布的数字特征
    • 23.3 第三节  二维正态分布
    • 23.4 第四节 正态随机变量的线性函数的分布
    • 23.5 第五节 中心极限定理
  • 24 第五章  数理统计的基本知识
    • 24.1 第一节  总体与样本
    • 24.2 第二节 样本函数与统计量
    • 24.3 第三节  数理统计中的某些常用分布
    • 24.4 第四节  正态总体统计量的分布
    • 24.5 小结  习题
  • 25 第六章  参数估计
    • 25.1 第一节  参数的点估计
    • 25.2 第二节  衡量点估计好坏的标准
    • 25.3 第三节   正态总体参数的区间估计
    • 25.4 第四节  两个正态总体均值差及方差比的区间估计
    • 25.5 第五节  非正态总体参数的区间估计
  • 26 第七章  假设检验
    • 26.1 第一节  假设检验的基本概念
    • 26.2 第二节  正态总体参数的假设检验
    • 26.3 第三节  两个正态总体参数的假设检验
    • 26.4 第四节  非正态总体参数的假设检验
    • 26.5 第五节  总体分布的假设检验
    • 26.6 小结 习题
  • 27 第八章  方差分析
    • 27.1 第一节 单因素试验的方差分析
    • 27.2 第二节  双因素无重复试验的方差分析
    • 27.3 第三节   双因素等重复试验的方差分析
  • 28 测验
    • 28.1 测验
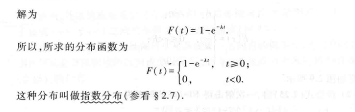
第五节  随机变量的分布函数

课件


视频


教材