第二节数量积 向量积
上一节
下一节
视频
课件
数量积与向量积
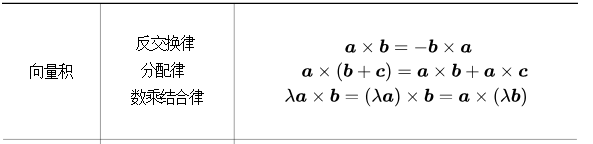
向量积的值是一个向量,方向由右手定则决定,垂直于两向量所成平面。

数量积的值则是一个数。



目录
向量积的值是一个向量,方向由右手定则决定,垂直于两向量所成平面。

数量积的值则是一个数。


