例题
上一节
下一节
[例1]
一个电子处于宽度为a的一维无限深方势阱的基态,阱的两壁突然反向运动,使阱宽度变为 2a,试求电子留在基态的概率。
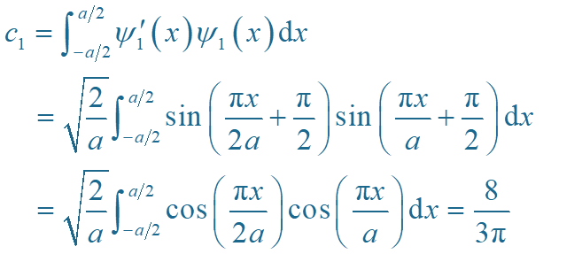
解:因阱壁突然反向运动,阱宽由a→2a,电子波函数来不及改变,它并不是2a 阱中的本征态但可由后者展开。
已知: 宽度为a时

宽度为2a时

将前者的基态波函数用后者本征函数用后者展开

所以

电子留在基态的概率

[例2]
设 x=a 处有一维 d 势垒
U(x)=A d(x-a), ( A > 0)
能量为E的粒子从左方入射,求透射系数。
解:根据定态薛定谔方程

显然,波函数的二阶导数在 x = a 处发散,对方程在区间[a-e , a+ e ]积分,得

可见波函数一阶导数在 x = a 处不连续,但是这个问题的粒子几率连续,故波函数连续。波函数可写为

k 称为波矢。
将此波函数代入一阶导数在 x = a 处不连续条件, 有

由 ψ 在 a 处连续

上两式联立,消去 R, 得

透射系数为

