线性谐振子
上一节
下一节
薛定谔方程的简单应用
二、 线性谐振子
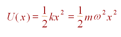
粒子势能为

其中: k 或 w 是常数的体系称为线性谐振子。根据定态薛定谔方程:


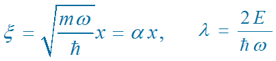
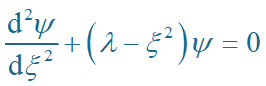
令


考察 x®±¥ 的渐近形式。设

且当x®±¥ 时,H(x) 有限,得

利用级数解法,为使当x®±¥ 时y 有限,l 应取奇数

故:线性谐振子的能级

能量本征波函数

由归一化条件:


利用厄米多项式的正交条件

得归一化常数

讨论:
(1)能量量子化

基态:


(2)n 的奇偶性决定了谐振子波函数的奇偶性


(3)本征函数和概率密度分布

(4)常用递推公式


