一维无限深方势阱
上一节
下一节
薛定谔方程的简单应用
一、 一维无限深方势阱

根据定态薛定谔方程:

阱外

因U0 → ∞,根据波函数的连续性和有限性条件,得

阱内

解得

由波函数连续性条件

由此得到

A 与 B 不能同时为零,因此得两组解

由此可得

对于第一组解, n 为奇数

对于第二组解, n 为偶数

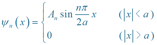
两组解可合并为

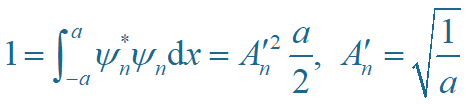
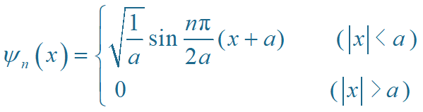
归一化:

所以, 波函数

体系的能量

注:
① E 正比于 n 平方,能级越高, 能级间隔越大。
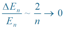
当n→∞时
, 
能量可认为是连续的!
②基态: n=1,能量最低状态.
基态波函数无结点。
第 k 个激发态(n=k+1),有 k 个结点,
节点的存在是量子效应.

③束缚态:
无限远处为零的波函数描写的状态。

