粒子流密度和粒子数守恒定律
上一节
下一节
1. 概率流密度和守恒定律
设t时刻,x 点周围单位体积内粒子出现的概率

概率随时间的变化规律

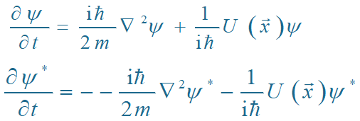
因为

所以

其中:


注:
①几率流密度矢量的物理意义


②电荷守恒方程
粒子电荷为e, 电荷密度为

电流密度:

电荷守恒方程:


2.波函数的归一不变性
当V→∞时

所 以

若波函数是归一化的,即

则将保持归一性不变。

