原子结构的玻尔理论
上一节
下一节
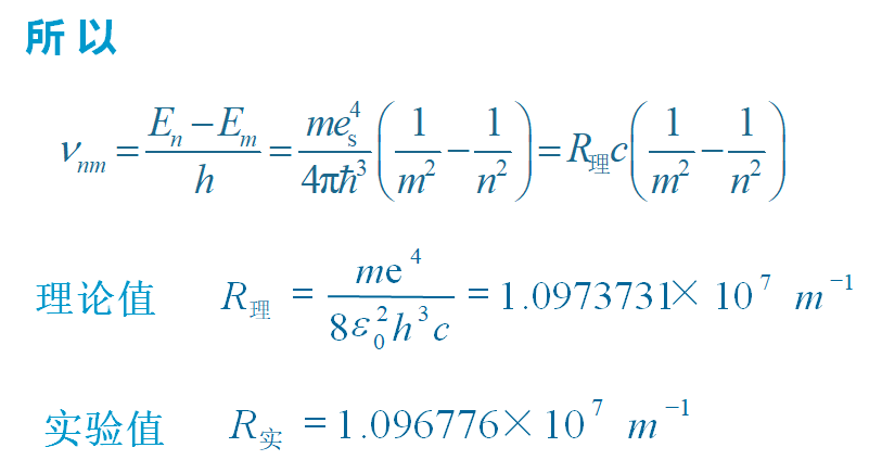
4.原子结构及其光谱问题





注:玻尔理论存在的缺陷
① 量子化条件带有人为性质,没有指出量子化结果的本质原因是什么;
② 理论推导不自洽(该理论是以牛顿力学经典理论为基础的,但定态不产生辐射又与经典理论自相矛盾)。
玻尔理论是经典物理与量子物理的“混合物”,它保留了经典的确定性轨道,另一方面又假定量子化条件来限制电子的运动。它不能解释稍微复杂的问题,正是这些困难,迎来了物理学的大革命。
为克服经典物理所遇到的困难,人们在经典物理的基础上加上了一些能量量子化的假设,由此虽然解决了许多问题,但并没有从根本上解决能量不连续的本质问题。这一切都推动着理论的发展。量子力学(1923- 1929)就是在克服这些困难中建立起来的。20世纪20年代量子物理学的两种等价理论同时提出:
波动力学和矩阵力学。
课程资料:
教案:
同1.2节的pdf文件
相关网络教学视频




