光的波粒二象性
上一节
下一节
光电效应:
光照射到金属表面上时,有电子从金属表面上逸出的现象。

经典理论的困难:
经典物理告诉我们:光的能量决定于光的强度即波幅,与频率无关。
3.康普顿(Compton)效应
康普顿效应:高频X射线经物质散射后,散射光波长随散射角增加而增大的现象。
经典理论困难:光被散射后波长应不变!
意义:
①光是由光子组成,能量是量子化的;
②微观碰撞事件中能量、动量守恒 。
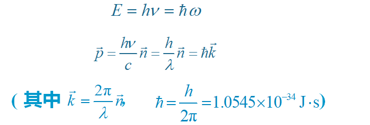
光的波粒二象性
光子的能量和动量

1.3 光的波粒二象性
1. 教案:
同1.2节








