经典物理学的困难
上一节
下一节
(二)经典物理学的困难与量子物理学的诞生




意义:
①解决了物理学中的紫外实验困难问题
②统一了维恩和瑞利 - 金斯公式
③提出能量量子化的概念,奠定了量子理论基础
2. 教案(pdf文档)
3. 网络资源
视频:相关网络教学视频推荐
目录


(二)经典物理学的困难与量子物理学的诞生





意义:
①解决了物理学中的紫外实验困难问题
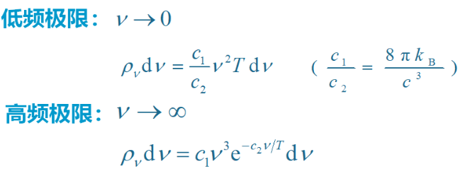
②统一了维恩和瑞利 - 金斯公式
③提出能量量子化的概念,奠定了量子理论基础
视频:相关网络教学视频推荐