三角比的诱导公式
上一节
下一节
【学习目标】
1.了解 “α+k·360° ”、“ -α”、“180°±α ”的诱导公式。
2.会利用简化公式将任意角的三角函数的转化为锐角的三角函数。
3.会利用计算器求任意角的三角函数值。
4.培养学生的数学思维能力及应用计算工具的能力。
【学习重点】
1.任意角的三角函数转化为0°-360°范围内的角的三角函数:

2.负角的三角函数转化为正角的三角函数:


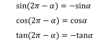
3.诱导公式:

这些公式可以用口诀:“ 名称不变,符号看象限”来记忆.利用它们可以把任意角的三角函数转化为锐角的三角函数。
4.利用诱导公式将任意角三角函数化为锐角三角函数的步骤:
(1) 化负角的三角函数为正角的三角函数。
(2) 化为0°-360°的三角函数。
(3) 化为锐角的三角函数。
概括为:“负化正,正化小,化到锐角就终了。”
【课程视频】
【课后练习】

