-
1 讲稿
-
2 课件与视频
-
3 知识扩展图
-
4 作业
-
5 参考资料

体内分析方法的建立与方法验证
一、体内分析方法建立的一般程序
取待测药物或其特定的活性代谢产物、内标等的标准物质,进行条件试验,通过调整色谱条件,使待测药物与内标物质具有良好的色谱参数及峰面积,并有效避开内源性物质的干扰;同时选择适当的检测器,以获得足够的检测灵敏度。
二、体内分析方法的验证
体内分析方法验证的内容包含分析方法的效能指标、样品稳定性及提取回收率。分析方法的效能指标包括特异性、标准曲线和定量范围、定量下限、精密度与准确度。
分析方法验证通常采用标准样品与质控样品,其含义如下:
1、质控样品(quality control sample,QC) 在空白生物介质中加入已知量(高、中、低三水平)待测物标准物质制成的样品,用于监测生物分析方法的效能和评价每一分析批样品分析结果的完整性和正确性。
2、标准样品(standard sample) 在空白生物介质中加入已知量待测物标准物质制成的系列浓度的样品,用于建立标准曲线,计算质控(QC)样品和未知样品中待测物的浓度。
(一)特异性
方法的特异性,又称选择性,用以证明该方法所测定的物质是预期的待测物(原形药物或特定的活性代谢物),而体内内源性物质、降解产物及其他共同使用的药物(伍用药物)不干扰样品的测定。
1、内源性物质的干扰 分别测定待测药物、活性代谢物的标准物质溶液,及6个不同个体的空白生物介质和QC样品,比较图谱或检测信号,确证内源性物质对分析方法无干扰。对于以软电离质谱为基础的检测方法(LC-MS或LC-MS/MS)应注意考察分析过程中的介质效应,如离子抑制等。
2、未知代谢产物的干扰 测定QC样品和6个不同个体用药后的实际体内样品,比较图谱或检测信号,确证其他代谢产物对分析方法无干扰。必要时可通过HPLC-DAD和LC-MS(或LC-MS/MS)确证被测定色谱峰的纯度。
3、伍用药物的干扰 测定待测药物及伍用药物标准物质溶液、QC样品和添加有伍用药物的干扰样品,比较图谱或检测信号,确证伍用药物对分析方法无干扰。
(二)标准曲线与定量范围
标准曲线(standard curve),亦称校正曲线(calibration curve)或工作曲线(working curve),反映了体内分析所测定药物的浓度与仪器响应值(如HPLC峰面积)的关系,一般用回归方程来评价。最常用的回归分析法为最小二乘法(least squares)或加权最小二乘法(weighted least squares)。
标准曲线建立的一般步骤如下:
1、系列标准样品的制备
取空白生物介质数份,分别加入系列标准溶液适量,制备至少包含6个浓度点的(不包括零点,即空白样品)系列浓度的标准样品(standard samples)。浓度系列一般为等比梯度模式,通常比例常数约为2,如1、2、5、10、20、50、100。在此系列中,若体内平均达峰浓度为50,其1/20为2.5,考虑到个体差异,设定最高浓度为100,最低浓度为1,可覆盖全部待测体内样品中的药物浓度。
内标溶液的浓度一般选择与系列“标准溶液”的几何平均浓度,即标准曲线的中间浓度(如系列标准溶液浓度为1、2、5、10、20、50和100时,中间浓度为10)相当。
2、标准曲线的绘制
取系列标准样品,按拟定方法预处理后分析,以待测药物的检测响应(因变量,y)对标准样品中的药物浓度(自变量,x),用最小二乘法或加权最小二乘法进行线性回归分析,求得回归方程(y=a+bx)及其相关系数(γ),并绘制标准曲线。
标准曲线的定量范围要能覆盖全部待测的体内样品浓度范围,定量上限(upper limit of quantification,ULOQ,标准曲线的最高浓度点)应高于用药后生物介质中药物的峰浓度(Cmax);定量下限(lower limit of quantification,LLOQ,最低浓度)应低于Cmax的10%~5%(1/10~1/20)。标准曲线回归方程的截距应接近于零,若显著偏离零点,应确证其对方法的准确度无影响;斜率应接近或大于1(与坐标的标度选择有关),使具有较高的灵敏度;相关系数应接近于1,即具有良好的相关性,如色谱法γ≥0.99。
(三)定量下限
定量下限(LLOQ)是标准曲线上的最低浓度点,表示方法的灵敏度,即测定样品中符合准确度和精密度要求的最低药物浓度。
测定方法是取同一生物介质,制备至少5个独立的标准样品,其浓度应使信噪比(S/N)大于5,依法进行精密度与准确度验证。在药代动力学与生物利用度研究中,LLOQ应能满足3~5个消除半衰期时体内样品中的药物浓度或Cmax的1/20~1/10的药物浓度的测定。
(四)精密度与准确度
精密度(precision)是指在确定的分析条件下相同生物介质中相同浓度样品的一系列测量值的分散程度,通常用QC样品的相对标准差(RSD)表示。在体内药物分析过程中,无论是药代动力学参数的获得或是治疗药物的监测,通常在1个分析批(analytical run)内难以完成全部体内样品的分析。而在不同的分析批之间的实验条件(如仪器性能、参数、试剂来源、实验温度、湿度等)有可能发生小的改变,进而对分析结果可能产生影响。所以在体内药物分析中,方法精密度除要评价批内(within-run或intra-batch)RSD外,同时还应评价批间(between-run或inter-batch)RSD。
准确度(accuracy)是指在确定的分析条件下测得的体内样品浓度与真实浓度的接近程度,通常用QC样品的实测浓度与标示浓度的相对回收率(relative recovery, RR)或相对偏差(relative error, RE)表示。
1、测定法 使用QC样品进行考察,一般选择高、中、低3个浓度的QC样品同时进行方法的精密度和准确度考察。每个QC样品测定1次。在测定批内RSD时,每一浓度至少制备并测定5个样品。为获得批间RSD,应在不同天(一般为3天)连续制备并测定QC样品,至少有连续3个分析批,不少于45个样品的分析结果。
2、结果计算与限度要求 QC样品浓度用回归方程计算。准确度以多次测定结果的平均值
与标准值(制备时的加入量)S比较计算,一般准确度RR应在85%~115%范围内,在LLOQ附近应在80%~120%范围内。RR或RE的计算式如下。精密度一般要求RSD不超过15%,在LLOQ附近RSD应不超过20%。

(五)样品稳定性
样品稳定性验证内容包括在1个分析批内的短期稳定性和在整个样品分析期间的长期稳定性。一般包括:生物样本室温放置(一般8h或根据实际情况定)、生物样本于冰箱内(4℃或−20℃)储存反复冻融3次、生物样本长期冰冻至整个分析完成期间的稳定性。另外,还应考察处理后待分析样品进样器放置(一般8-9h)、标准物质储备液(4℃或−20℃放置)的稳定性,以保证检测结果的准确性和重现性。
测定法方法是取高、低两个浓度的QC样品,于适当的容器内,在上述规定条件下存放不同时间后测定,每个QC样品重复测定3次,其平均值的偏差应在零时测定值的±5%以内。
(六)提取回收率
提取回收率(extraction recovery)系指从生物样本中回收得到待测物的收率,通常以%表示。待测物的提取回收率用于评价样品处理方法将体内样品中待测物从生物介质中提取出来的能力。
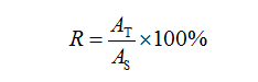
1.测定法 制备高、中、低三水平的QC样品,每一浓度至少5个样品,依据拟定的分析方法操作,每个样品分析测定1次。另取空白生物介质,照QC样品同法处理后,加入等量的标准溶液(必要时除去溶剂),同法制备相同的高、中、低3个浓度的标准对照样品,同法测定。将测得的QC样品的信号强度(如HPLC峰面积)与标准对照样品测得的信号强度比较,按下式计算提取回收率:

式中,R为提取回收率;AT 为QC样品经制备处理后的信号强度(如HPLC峰面积);AS为标准对照样品的信号强度(同AT)。
当采用内标法测定体内样品时,应同时测定内标物质的提取回收率。其测定法同待测药物提取回收率的测定,但仅需制备1个浓度(即体内样品分析时加入的浓度)至少5个QC样品,同法测定、计算。
2.限度要求 在药代动力学和生物利用度研究中,高、中、低QC样品的提取回收率应一致、精密和可重现。中、高浓度的RSD应不大于15%,低浓度的RSD应不大于20%。
(七)分析过程的质量控制
在未知样品分析过程中应进行分析方法的质量控制,以保证所建立的方法在实际应用中的可靠性。在分析过程质控中,推荐由独立的人员随行配制不同浓度的QC样品对分析方法进行质量监控。每个QC水平至少双样本,并应均匀分布在未知样品测试顺序中。当一个分析批内未知样品数目较多时,应同时增加各浓度QC样品数,使QC样品数大于未知样品总数的5%。




