-
1 讲稿
-
2 课件与视频
-
3 知识点拓展图
-
4 作业题

(一)原理
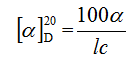
当平面偏振光通过含有某些光学活性物质(如具有不对称碳原子的化合物)的液体或溶液时,能引起旋光现象,使偏振光的振动平面向左或向右旋转。偏振光旋转的度数称为旋光度。旋光度有右旋、左旋之分,偏振光向右旋转(顺时针方向)称为“右旋”,用符号“+”表示;偏振光向左旋转(逆时针方向)称为“左旋”,用符号“-”表示。偏振光透过长1dm,且每1ml中含有旋光性物质1g的溶液,在一定波长与温度下,测得的旋光度称为比旋度。比旋度是旋光物质的重要物理常数,可以用来区别药物或检查药物的纯杂程度,也可用来测定含量。
物质的旋光度不仅与其化学结构有关,而且还和测定时溶液的浓度、光路长度以及测定时的温度和偏振光的波长有关。《中国药典》规定,除另有规定外,测定温度为20℃,测定管长度为1dm(如使用其他管长,应进行换算),使用钠光谱的D线(589.3nm)作光源,在此条件下测定的比旋度用
表示。
测定药物的比旋度时,取供试液,测定旋光度值,按下列公式计算比旋度:
对液体供试品

对固体供试品

式中,
为比旋度,a为测得的旋光度,l为光路长度(即测定管长度,dm),c为溶液的浓度(g/100ml),式3-l中,d为液体的相对密度。
如果已知比旋度,可将测得的旋光度代入下式,计算药物的含量:

(二)测定方法
1.仪器
旋光计:《中国药典》规定,应使用读数至0.01°并经过检定的旋光计。
旋光计的检定:可用标准石英旋光管进行校正,读数误差应符合规定。
2.测定方法
将测定管用供试液体或固体物质的溶液(取固体供试品,按各药品项下的方法制成)冲洗数次,缓缓注入供试液或溶液适量(注意勿使发生气泡),置于旋光计内检测读数,即得供试液的旋光度。用同法读取旋光度3次,取3次的平均数,照上述公式计算供试品的比旋度或浓度。
3.注意事项
(1)每次测定前应以溶剂作空白校正,测定后,再校正1次,以确定在测定时零点有无变动。如第2次校正时发现零点有变动,则应重新测定旋光度。
(2)配制溶液及测定时,均应调节温度至20℃±0.5℃(或各品种项下规定的温度)。
(3)供试物质的溶液应充分溶解,供试液应澄清。
(4)物质的比旋度与测定光源、测定波长、溶剂、浓度和温度等因素有关。因此,表示物质的比旋度时应注明测定条件。
(三)应用
1.药物鉴别
具有旋光性的药物,在“性状”项下,一般都收载有“比旋度”的检验项目。测定比旋度值可用来鉴别药物或判断药物的纯杂程度。《中国药典》要求测定比旋度的药物很多,如肾上腺素、硫酸奎宁、葡萄糖、丁溴东莨菪碱、头孢噻吩钠等。
例如,肾上腺素比旋度的测定方法为:取本品,精密称定,加盐酸溶液(9→200)溶解并定量稀释制成每1ml中含20mg的溶液,照“旋光度测定法”测定,比旋度应为-50.0°~-53.5°。
2.杂质检查
具有光学异构体的药物,一般具有相同的理化性质,但其旋光性能不同,一般有左旋体、右旋体和消旋体之分,通过测定药物中杂质的旋光度,可以对药物的纯度进行检查。
例如,硫酸阿托品中杂质莨菪碱的检查,硫酸阿托品为莨菪碱的外消旋体,无旋光性,而莨菪碱为左旋体,莨菪碱虽然作用较强,但毒性也大,常将其作为杂质加以控制。
检查方法为:取本品,按干燥品计算,加水制成每1ml中含50mg的溶液,依法测定,旋光度不得过-0.40°。已知莨菪碱的比旋度为-32.5°,控制莨菪碱的限量为24.6%。

3.含量测定
具有旋光性的药物,特别是在无其他更好的方法测定其含量时,可采用旋光度法测定。《中国药典》采用旋光度法测定含量的药物有葡萄糖注射液、葡萄糖氯化钠注射液、右旋糖酐氯化钠注射液、右旋糖酐葡萄糖注射液等。

例如,葡萄糖分子结构中含有多个手性碳原子,具有旋光性。《中国药典》采用旋光度法测定葡萄糖注射液的含量。测定方法为:精密量取本品适量(约相当于葡萄糖10g),置100ml量瓶中,加氨试液0.2ml(10%或10%以下规格的本品可直接取样测定),用水稀释至刻度,摇匀,静置10分钟,依法测定旋光度,与2.0852相乘,即得供试量中含有葡萄糖(C6H12O6·H2O)的重量(g)。
测定前加入氨试液的作用:葡萄糖有α及β两种互变异构体,在水溶液中存在下列互变平衡:

由上式可见,α和β两种互变异构体的比旋度相差甚远,而在水溶液中二者互变,逐渐达到平衡,此时的比旋度也趋于恒定,为+52.5°~+53.0°,这种现象称为葡萄糖的变旋现象。因此,测定葡萄糖旋光度时,应首先使上述反应达到平衡,一般放置至少6小时。若加热、加酸或加弱碱,均可加速平衡的到达。《中国药典》采用加氨试液的方法,加速变旋平衡的到达。换算因数2.0852的由来:无水葡萄糖的比旋度为+52.75°,按下式计算无水葡萄糖的浓度:

如果换算成含水葡萄糖浓度(c')时,则应为





