-
1 讲稿
-
2 课件与视频
-
3 知识点拓展图
-
4 作业
-
5 参考书目

鉴别是指用规定的试验方法来辨别药物的真伪,是药品质量控制的一个重要环节。鉴别的方法有化学方法、物理化学方法和生物学方法等。化学的方法有呈色反应、沉淀生成反应、荧光反应、气体生成反应/制备衍生物测定熔点等。物理化学的方法主要是一些仪器分析方法,如紫外-可见分光光度法、红外分光光度法、色谱法等。生物学的方法是利用微生物或实验动物进行鉴别,主要用于抗生素和生化药物的鉴别。药物的鉴别试验,均为用来证实贮藏在有标签容器中的药物是否为其所标示的药物,而不是对未知物进行定性分析。
常见金属离子、酸根和官能团的鉴别收载在《中国药典》附录“一般鉴别试验”项下,如钠盐(Na+)、钾盐(K+)、钙盐(Ca2+)、酒石酸盐、水杨酸盐、丙二酰脲类、芳香第一胺类的鉴别等。药物专属的鉴别试验则收载在《中国药典》正文各品种质量标准的鉴别项下。
化学鉴别法具有简便、现象明显的特点,是药物鉴别的基本方法。
1、呈色反应鉴别法
系指供试品溶液中加入适当的试剂溶液,在一定条件下进行反应,生成易于观测的有色产物。如酚羟基的三氯化铁呈色反应;芳香第一胺的重氮化-偶合反应等。
例如,水杨酸盐鉴别方法为:取供试品的稀溶液,加三氯化铁试液1滴,即显紫色。反应原理是水杨酸含有游离酚羟基,可在中性或弱酸性(pH值为4~6)条件下,与三氯化铁试液反应,生成紫堇色配位化合物。反应方程式如下:

又如,芳香第一胺类鉴别方法反应,又称重氮化-偶合反应,用于鉴别芳香第一胺(即芳伯氨)。具有芳伯氨基或潜在芳伯氨基药物(指可以转化为芳伯氨基),在盐酸介质中与亚硝酸钠作用,生成重氮盐,重氮化盐进一步与β-萘酚偶合,生成有色偶氮合物。方法为:取供试品约50mg,加稀盐酸1ml,必要时缓缓煮沸使溶解,放冷,加0.1mol/L亚硝酸钠溶液数滴,滴加碱性β-萘酚试液数滴,生成橙色或猩红色的沉淀。反应方程式如下:

2、沉淀生成反应鉴别法
系指供试品溶液中加入适当的试剂溶液,在一定条件下生成不同颜色的沉淀,有的沉淀具有特殊的形状。如丙二酰脲类的硝酸银反应;氯化物的银盐沉淀反应。
例如,丙二酰脲类的硝酸银反应的原理是巴比妥类药物含有丙二酰脲结构,在碱性条件下,可与某些重金属离子反应,生成沉淀或有色物质。这一特性可用于本类药物的鉴别。方法为:取供试品约0.1g,加碳酸钠试液1ml与水10ml,振摇2分钟,滤过,滤液中逐滴加入硝酸银试液,即生成白色沉淀,振摇,沉淀即溶解;继续滴加过量的硝酸银试液,沉淀不再溶解。反应式如下:

巴比妥类药物的一银盐可溶于水,而二银盐不溶。反应中第一次出现的白色沉淀是由于硝酸银局部过浓,产生少量巴比妥二银盐,振摇后,转换为可溶性的一银盐,继续滴加硝酸银至过量,则完全生成白色二银盐沉淀。
3、荧光反应鉴别法
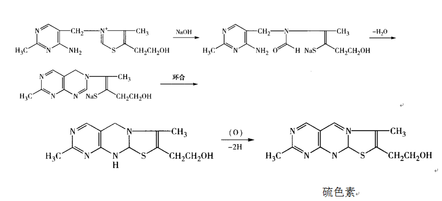
在适当的溶剂中药物本身在可见光下发射荧光,如硫酸奎宁的稀硫酸溶液显蓝色荧光;药物与适当试剂反应后发射出荧光,如维生素B1的硫色素反应等。
例如,维生素B1硫色素反应的鉴别方法为:取供试品约5mg,加氢氧化钠试液2.5ml溶解后,加铁氰化钾试液0.5ml与正丁醇5ml,强力振摇2分钟,放置使分层,上面的醇层显强烈的蓝色荧光;加酸使成酸性,荧光即消失;再加碱使成碱性,荧光又显出。原理是维生素B1在碱性溶液中,可被铁氰化钾氧化生成硫色素。硫色素溶解于正丁醇(或异丁醇等)中,显蓝色荧光。反应方程式如下:

4、气体生成反应鉴别法
大多数的胺类药物、酰脲类药物以及某些酰胺类药物可经强碱处理后加热产生氨(胺)气;化学结构中含硫的药物可经强酸处理后加热产生硫化氢气体;含碘有机药物经直火加热可生成紫色碘蒸气;含乙酸酯和乙酰胺类药物,经硫酸水解后,加乙醇可产生乙酸乙酯的香味。
二、鉴别试验的条件及方法验证
鉴别试验必须在适宜条件下完成,否则将会影响结果的判断。影响鉴别反应的因素主要有被测物浓度,试剂的用量,溶液的温度、pH、反应时间和干扰物质等。所以,在方法建立阶段,需要对这些条件进行系统考察,选择最适宜的反应条件。
1、溶液的浓度主要是指被鉴别药物的浓度,鉴别试验中的反应试剂一般是过量加入的。适宜的药物浓度应该是能够产生明显的反应现象,高于反应发生的最低浓度,且不超过检测或反应的灵敏度范围。
2、溶液的温度温度对化学反应的影响很大,所以鉴别反应要选择适当的浓度。一般温度每升高10℃,可使反应速度增加2~4倍。但温度的升高也可使某些生成物分解,导致颜色变浅,甚至观察不到阳性结果。
3、溶液的酸碱度 许多鉴别反应都需要在一定酸碱度的条件下才能进行。为使反应获得明显现象,应对溶液的酸碱度进行选择,使反应物和生成物处于易于反应和稳定易于观测的状态。
4、试验时间化学反应需要一定的反应时间。应该对不同的时间进行考察,选择适当的反应时间,需要是可加入催化剂。
三、鉴别实验的方法验证
方法鉴别的目的在于证明所采用的方法适用于目标药物鉴别的要求。鉴别试验方法验证的内容包括专属性、灵敏度和耐用性。
1.专属性 指其他成分(其他药物成分、杂质、降解产物、辅料等)存在的情况下,该鉴别方法能否正确地鉴别出目标药物的特性。专属性试验要求证明能与可能共存的物质或结构相似化合物区分,需确证含被分析物的供试品呈正反应,而不含被测成分的阴性对照呈负反应,结构相似或组分中的有关化合物也应呈负反应。
2.耐用性 指测定条件发生小的变动时,测定结果不受影响的程度。方法的耐用性好,意味着该方法对测定条件的要求不苛刻,外界条件的一定变化,对测定结果的影响不大。
3.灵敏度指鉴别试验的最低检出浓度(量)。最低检出浓度越低,说明鉴别试验灵敏度越高。
例如,复方吡啦西坦片剂中维生素B2鉴别方法建立
复方吡啦西坦片由吡啦西坦、脑蛋白水解物、谷氨酸、硫酸软骨素、维生素B1、维生素B2、维生素B6和维生素E等8种药物加适量辅料制成,处方中既有结构明确的化学药,又有成分复杂的生物制品药。
设计复方制剂维生素B2的鉴别试验时,参考ChP2010收载的维生素B2的鉴别试验方法(如下所示方法1)进行,并以维生素B2原料药为阳性对照,另取处方中其他药物和辅料作为阴性对照(空白试验),验证方法的专属性。
方法1:取本品10片,置研钵中,加水50ml,充分研磨,滤过,滤液作为供试液;另取维生素B2原料适量,加水溶解,作为对照液。可见供试品与对照品溶液均显黄色荧光。取对照液和供试液各约6 ml,分成三份,一份加稀硫酸溶液,一份加氢氧化钠试液,另一份加连二亚硫酸钠结晶少许,摇匀后观察现象。结果可见,加连二亚硫酸钠,维生素B2对照液和供试液均黄色消褪,荧光消失;加氢氧化钠试液,两者均荧光消失;加稀硫酸溶液,维生素B2对照液黄色荧光消失,但供试品溶液出现蓝色荧光,表明片剂中其他成分在酸性条件下有荧光干扰。
故对处方中各个组分进行了逐一实验,结果脑蛋白水解物在酸性溶液中显蓝色荧光,而其他成分均无此现象。可见,酸性条件下脑蛋白水解物对维生素B2鉴别产生干扰。
因此复方复方吡啦西坦片维生素B2鉴别方法为:取供试液,分成两份,一份加氢氧化钠试液,另一份加连二亚硫酸钠结晶少许,摇匀后,黄色荧光均消失。




