近似计算湖面的面积
上一节
下一节

1. 计算顶点在格点上的多边形面积(如图2)
(1)分割图形:将多边形分割为长方形和三角形,分别计算面积。
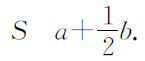
(2)数格点:用a表示多边形内部的格点数,b表示多边形边界上的格点数,则多边形的面积精确值为


2. 近似计算顶点不全在格点上多边形的面积(如图3)。
数方格:用a表示多边形内部完整的方格数,b表示不完整的方格数,则多边形面积的近似值为

此时数格点的方法也只能得到面积的近似值。
3. 按比例尺换算:

对任意的由封闭曲线围成的平面图形,也可以采用“数方格”或“数格点”的方法近似计算其面积。

