Linear regression
-
1
-
2
-
3 QUIZ
上一节
下一节
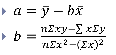
}Linear regression performs a similar roleto that of the high low method, but it uses mathematical equations that examineall data in the series in order to improve accuracy.
}Consider the equation of a straight line:

}y = a + bx; Where:
y = dependent variable
x = independent variable
a = intercept on y-axis
b = gradient of the line




