2.2 驻波和简正
一、驻波的概念
驻波:由两列频率相同、但传播方向相反的平面声波迭加形成的一种特殊的干涉现象称为驻波现象。

驻波形成时,空间各处的介质点或物理量只在原位置附近做振动,波停驻不前,而没有行波的感觉,所以称为驻波。形成驻波时,各处介质质点或物理量以不同的振幅振动。振幅最大处叫波腹,振幅最小处即看上去静止不动处叫波节。相邻两个波节或波腹之间的距离是半个波长。

一旦在室内声场的某点形成了驻波,那么这点所能够获得的声强频谱特性则类似于下图所示。
也就是说:在驻波点有些频率的声音得到了加强,而有些频率的声音则被削弱。

从驻波产生的原因我们可以判断出,驻波并非是一种偶然的现象;几乎每个室内声场中都存在着无数的驻波点。在这些位置听音必然会有频率上的异变(音调不准、音色有变化等等)。

上图是在一个小型长方形房间内播放扫频信号,然后在录音师位置以及房间角落运用话筒实录测得的驻波频谱分布图。
二、驻波与简正
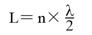
在室内声场中,由于室内各界面的复杂反射迭加将形成许多驻波点。对于矩形房间的一对平行墙壁间,声波垂直于墙壁传播和反射时,形成驻波的条件是:

这里L为两平行墙壁间距离,n=1,2,3……,为相应频率声波的波长。
按上述条件形成的每一个驻波称为房间的一个简正方式,而相应的频率则称为简正频率。

室内驻波不仅可以发生在矩形房间的X、Y、Z三个轴向,还可以发生在X-Y、X-Z、Y-Z三个平面内,也可以发生在空间其它方向。
由此我们可以推断,在任何房间内都有无数的驻波,或者说具有无数种简正方式与简正频率。
驻波产生的结果就是:对于室内声场中的任意一点,在某个时刻都有某些频率的声音在这一点可以获得增强(或者减弱)。
此外,通过实验分析我们还可以得知,在室内众多的简正方式中,有一些简正方式所对应的简正频率是相同的。这种现象我们称之为:简正频率的“简并”。
由于简并现象的出现,使得室内声场中的某些频率成分得到了进一步的增强(声染色),由此产生的失真使室内音质大为下降。
房间大小不同,驻波的情况也不同。通常而言,大房间的驻波频谱特性要比小房间平缓。

这就是为什么大多数声学用房都要求尽可能大的室内容积的原因,因为大房间的简正情况比小房间要好的多

